精英家教网 > 高中数学 > 题目详情

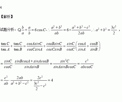
在锐角中,角的对边分别为.若,则________.

练习册系列答案
相关习题

科目:高中数学 来源:2015-2016学年河北省高二下期中文科数学试卷(解析版) 题型:解答题

已知曲线的极坐标方程为,直线的参数方程为为参数,).

(I)求曲线C的直角坐标方程与直线的普通方程;

(II)若直线与曲线C有且只有一个交点,求的值.

查看答案和解析>>

科目:高中数学 来源:2015-2016学年山西大学附属中学高一下期中数学试卷(解析版) 题型:解答题

已知

(1)求的值;

(2)若,求

查看答案和解析>>

科目:高中数学 来源:2015-2016学年山西大学附属中学高一下期中数学试卷(解析版) 题型:选择题

已知方向上的投影为,则( )

A.3 B. C.2 D.

查看答案和解析>>

科目:高中数学 来源:2015-2016学年河北省高一3月月考数学试卷(解析版) 题型:解答题

在右图所示的四边形ABCD中,.

(1)用含θ的代数式表示DC;

(2)求△BCD的面积S的最小值.

查看答案和解析>>

科目:高中数学 来源:2015-2016学年河北省高一3月月考数学试卷(解析版) 题型:选择题

等差数列的前n项和为,若成等比数列,则的值为( )

A.1或2 B. C.2 D.或2

查看答案和解析>>

科目:高中数学 来源:2015-2016学年河北省高一3月月考数学试卷(解析版) 题型:选择题

在等差数列中,已知 ( )

A.10 B.18 C.20 D.28

查看答案和解析>>

科目:高中数学 来源:2015-2016学年安徽省高二下周末检测三文数学卷(解析版) 题型:选择题

时,,)则的取值范围是( )

A. B. C. D.

查看答案和解析>>

科目:高中数学 来源:2015-2016学年福建上杭一中高一下期末模拟二数学试卷(解析版) 题型:选择题

在平面直角坐标系中,已知点分别为轴,轴上一点,且,若点,则的取值范围是( )

A. B. C. D.

查看答案和解析>>

同步练习册答案