精英家教网 > 高中数学 > 题目详情

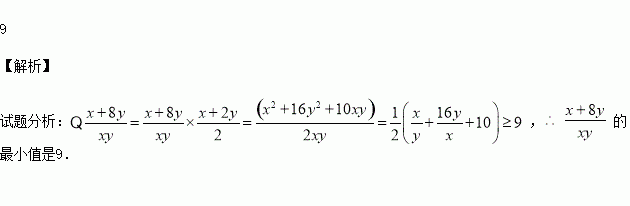
已知正数满足,则的最小值为_________.

练习册系列答案
相关习题

科目:高中数学 来源:2015-2016学年辽宁省高二上10月月考理科数学试卷(解析版) 题型:选择题

(2009•山东)在区间[﹣]上随机取一个数x,cosx的值介于0到之间的概率为( )

A. B. C. D.

查看答案和解析>>

科目:高中数学 来源:2015-2016学年福建省龙海市高二上学期期中文科数学试卷(解析版) 题型:解答题

为了解一大片经济林生长情况,随机测量其中的60株的底部周长(单位:Cm),将周长整理后画出的频率分布表和频率分布直方图如下:观察图形,回答下列问题:

组距

频数

频率

[

6

0.1

0.15

9

18

0.25

3

0.05

合计

(1)补充上面的频率分布表和频率分布直方图.

(2)79.5~89.5 这一组的频数、频率分别是多少?

(3)估计这次环保知识竞赛的及格率(60cm及以上为合格

查看答案和解析>>

科目:高中数学 来源:2015-2016学年内蒙古赤峰市高一9月月考数学试卷(解析版) 题型:解答题

已知集合

(1)求

(2)

查看答案和解析>>

科目:高中数学 来源:2015-2016学年福建省宁德市高一上学期期中考试数学试卷(解析版) 题型:选择题

函数的定义域是[0,2],则函数的定义域是( )。

A.[-2,0] B.[2,4] C.[0,2] D.无法确定

查看答案和解析>>

科目:高中数学 来源:2015-2016学年江西省高一上第二次段考数学试卷(解析版) 题型:解答题

已知函数为偶函数,且的最小值是.

(I)求

(II)用五点法画一个周期内的图像.

查看答案和解析>>

科目:高中数学 来源:2015-2016学年江西省高一上第二次段考数学试卷(解析版) 题型:选择题

关于的方程,给出下列四个命题:

①存在实数,使得方程恰有2个不同的实根

②存在实数,使得方程恰有4个不同的实根

③存在实数,使得方程恰有5个不同的实根

④存在实数,使得方程恰有8个不同的实根

其中假命题的个数是( )

A.0 B.1 C.2 D.3

查看答案和解析>>

科目:高中数学 来源:2016届江苏省高三12月月考数学试卷(解析版) 题型:解答题

设函数

(Ⅰ)若,函数的值域为,求函数的零点;

(Ⅱ)若

(1)对任意的,恒成立, 求实数的最小值;

(2)令,若存在使得,求实数的取值范围.

查看答案和解析>>

科目:高中数学 来源:2016届安徽省高三上第五次月考理科数学试卷(解析版) 题型:解答题

已知数列是递增的等比数列,为其前n项和,且

(1)求数列的通项公式;

(2)设数列满足,求其前n项和为

查看答案和解析>>

同步练习册答案