精英家教网 > 高中数学 > 题目详情

设函数

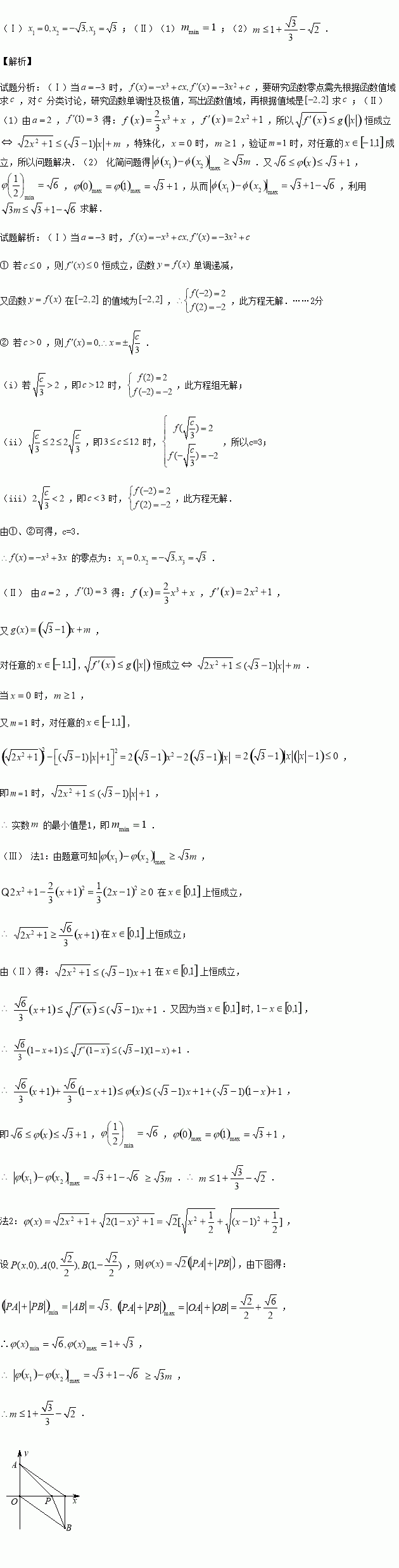
(Ⅰ)若,函数的值域为,求函数的零点;

(Ⅱ)若

(1)对任意的,恒成立, 求实数的最小值;

(2)令,若存在使得,求实数的取值范围.

练习册系列答案
相关习题

科目:高中数学 来源:2015-2016学年河南省高二上12月月考文科数学试卷(解析版) 题型:解答题

(2011•咸阳三模)已知数列{an}的各项均为正数,Sn是数列{an}的前n项和,且4Sn=an2+2an﹣3.

(1)求数列{an}的通项公式;

(2)已知bn=2n,求Tn=a1b1+a2b2+…+anbn的值.

查看答案和解析>>

科目:高中数学 来源:2016届江苏省高三上第十八周周练数学试卷(解析版) 题型:填空题

已知正数满足,则的最小值为_________.

查看答案和解析>>

科目:高中数学 来源:2015-2016学年江西省高一上第二次段考数学试卷(解析版) 题型:选择题

函数的零点所在的区间为( )

A. B. C. D.

查看答案和解析>>

科目:高中数学 来源:2016届江苏省高三12月月考数学试卷(解析版) 题型:解答题

数学运算中,常用符号来表示算式,如=,其中

(Ⅰ)若,…,成等差数列,且,公差,求证:

(Ⅱ)若,记,且不等式对于恒成立,求实数的取值范围.

查看答案和解析>>

科目:高中数学 来源:2016届江苏省高三12月月考数学试卷(解析版) 题型:填空题

实数,满足,如果它们的

平方组成公差的等差数列,当取最小值时,=

查看答案和解析>>

科目:高中数学 来源:2016届江苏省高三12月月考数学试卷(解析版) 题型:填空题

经过函数上一点引切线轴、轴分别交于点和点为坐标原点,记的面积为,则=

查看答案和解析>>

科目:高中数学 来源:2016届安徽省高三上第五次月考文科数学试卷(解析版) 题型:选择题

双曲线的两焦点为,P在双曲线上,且满足,则的面积为( )

A.1 B. C.2 D.4

查看答案和解析>>

科目:高中数学 来源:2016届河北省高三上学期期中考试文科数学试卷(解析版) 题型:填空题

,设函数的零点为m,函数的零点为n,则的最小值为

查看答案和解析>>

同步练习册答案