精英家教网 > 高中数学 > 题目详情

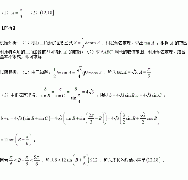
中,角所对的边分别为,设的面积,且.

(1)求角的大小;

(2)若,求周长的取值范围.

练习册系列答案
相关习题

科目:高中数学 来源:2015-2016学年河北石家庄一中高二下第二次月考文数学卷(解析版) 题型:解答题

某公司研制出一种新型药品,为测试该药品的有效性,公司选定个药品样本分成三组,测试结果如下表:

已知在全体样本中随机抽取个,抽到组药品有效的概率是

(1)现用分层抽样在全体样本中抽取个测试结果,问应在组抽取样本多少个;

(2)已知,求该药品通过测试的概率(说明:若药品有效的概率不小于%,则认为测试通过).

查看答案和解析>>

科目:高中数学 来源:2015-2016学年重庆市高一下期中文科数学试卷(解析版) 题型:填空题

已知为正三角形内一点,且满足,若的面积与的面积之比为3,则___________.

查看答案和解析>>

科目:高中数学 来源:2015-2016学年重庆市高一下期中文科数学试卷(解析版) 题型:选择题

若向量满足:,则( )

A.2 B. C.1 D.

查看答案和解析>>

科目:高中数学 来源:2015-2016学年重庆市高一下期中文科数学试卷(解析版) 题型:选择题

在等差数列中,若,则公差( )

A.1 B.2 C.3 D.4

查看答案和解析>>

科目:高中数学 来源:2015-2016学年重庆市高一下期中理科数学试卷(解析版) 题型:填空题

有如下命题:

①“”是“”成立的充分不必要条件;

,则

对一切正实数均成立;

④“”是“”成立的必要非充分条件.

其中正确的命题为___________.(填写正确命题的序号)

查看答案和解析>>

科目:高中数学 来源:2015-2016学年重庆市高一下期中理科数学试卷(解析版) 题型:选择题

设等差数列的前项和为,且满足,对任意正整数,都有,则的值为( )

A.1006 B.1007 C.1008 D.1009

查看答案和解析>>

科目:高中数学 来源:2015-2016学年重庆市高二下期中文科数学试卷(解析版) 题型:填空题

拋物线的准线经过双曲线的一个焦点,则

查看答案和解析>>

科目:高中数学 来源:2015-2016学年河北省高二下期中文科数学试卷(解析版) 题型:解答题

如图,四棱锥中,底面的边长为4的菱形,中点.

(1)求证:平面

(2)若,求三棱锥的体积.

查看答案和解析>>

同步练习册答案