精英家教网 > 高中数学 > 题目详情

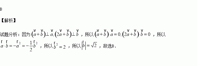
若向量满足:,则( )

A.2 B. C.1 D.

练习册系列答案
相关习题

科目:高中数学 来源:2015-2016学年河北武邑中学高二下4.24周考理数学卷(解析版) 题型:选择题

设函数的导数.某同学经过探究发现,任意一个三次函数都有对称中心,其中满足.已知函数,则( )

A. B. C. D.

查看答案和解析>>

科目:高中数学 来源:2015-2016学年河北石家庄一中高二下第二次月考理数学卷(解析版) 题型:选择题

已知点是椭圆上除顶点外的一动点,为椭圆的两个焦点,是坐标原点,若的角平分线上的点,且,则的取值范围为( )

A. B. C. D.

查看答案和解析>>

科目:高中数学 来源:2015-2016学年重庆市高一下期中文科数学试卷(解析版) 题型:解答题

已知等差数列的前项和为,公差,且成等比数列.

(1)求数列的通项公式;

(2)设是首项为1,公比为3的等比数列,求数列的前项和.

查看答案和解析>>

科目:高中数学 来源:2015-2016学年重庆市高一下期中文科数学试卷(解析版) 题型:填空题

已知,且的中点,则点的坐标为 ________.

查看答案和解析>>

科目:高中数学 来源:2015-2016学年重庆市高一下期中文科数学试卷(解析版) 题型:选择题

已知非零向量,则方向相同的( )

A.充分不必要条件 B.必要不充分条件

C.充要条件 D.既不充分也不必要条件

查看答案和解析>>

科目:高中数学 来源:2015-2016学年重庆市高一下期中理科数学试卷(解析版) 题型:解答题

中,角所对的边分别为,设的面积,且.

(1)求角的大小;

(2)若,求周长的取值范围.

查看答案和解析>>

科目:高中数学 来源:2015-2016学年重庆市高一下期中理科数学试卷(解析版) 题型:选择题

已知五个数成等比数列,则的值为( )

A.3 B. C. D.

查看答案和解析>>

科目:高中数学 来源:2015-2016学年重庆市高二下期中理科数学试卷(解析版) 题型:选择题

这六个数字中选两个奇数和两个偶数,组成没有重复数字的四位数的个数为( )

A. B. C. D.

查看答案和解析>>

同步练习册答案