精英家教网 > 高中数学 > 题目详情

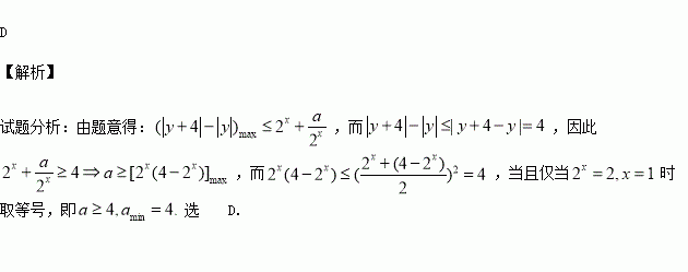
已知不等式对任意实数都成立,则常数的最小值为( )

A. B. C. D.

练习册系列答案
相关习题

科目:高中数学 来源:2015-2016学年广西陆川县中学高一上学期周测九数学试卷(解析版) 题型:选择题

已知函数,若方程有四个不同的实数根,则的取值范围为( )

A. B. C. D.

查看答案和解析>>

科目:高中数学 来源:2014-2015学年贵州省高二上学期半期考试理科数学试卷(解析版) 题型:解答题

如图所示,从双曲线x2-y2=1上一点Q引直线x+y=2的垂线,垂足为N.求线段QN的中点P的轨迹方程.

查看答案和解析>>

科目:高中数学 来源:2016上海复旦大学附中届高三上期中文科数学试卷(解析版) 题型:填空题

已知是定义在上且周期为3的函数,当时,

若函数在区间上有10个零点(互不相同),则实数的取值范围是 .

查看答案和解析>>

科目:高中数学 来源:2016上海复旦大学附中届高三上期中理科数学试卷(解析版) 题型:填空题

阅读右边的程序框图,如果输出的值在区间内,则输入的实数的取值范围是

查看答案和解析>>

科目:高中数学 来源:2016届河北省高三上学期四调理科数学试卷(解析版) 题型:填空题

已知数列对于任意,有,若,则

查看答案和解析>>

科目:高中数学 来源:2015-2016学年吉林省高二11月月考文科数学卷(解析版) 题型:选择题

若条件,条件,则的( )

A.充分不必要条件 B.必要不充分条件

C.充要条件 D.既非充分条件也非必要条件

查看答案和解析>>

科目:高中数学 来源:2015-2016学年湖北武汉华中师大一附高二上期中理数学卷(解析版) 题型:选择题

方程表示的圆( )

A.关于x轴对称

B.关于y轴对称

C.关于直线对称

D.关于直线对称

查看答案和解析>>

科目:高中数学 来源:2016届湖北武汉华中师大一附等高三上第一次联考理数学卷(解析版) 题型:选择题

,则的大小关系( )

A. B. C. D.

查看答案和解析>>

同步练习册答案