精英家教网 > 高中数学 > 题目详情

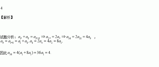
已知数列对于任意,有,若,则

练习册系列答案
相关习题

科目:高中数学 来源:2015-2016学年浙江省温州市十校联合体高一上学期期中考试数学试卷(解析版) 题型:填空题

已知集合,,若A=B,则a+b=_______.

查看答案和解析>>

科目:高中数学 来源:2014-2015学年贵州省高二上学期半期考试理科数学试卷(解析版) 题型:填空题

已知样本9,10,11,x,y的平均数是10,方差是2,则xy=

查看答案和解析>>

科目:高中数学 来源:2016上海复旦大学附中届高三上期中理科数学试卷(解析版) 题型:填空题

是一个非空集合,是一个以的某些子集为元素的集合,且满足:

(1)

(2)对于的任意子集,当时,

则称是集合的一个“集合类”。

例如:是集合的一个“集合类”

已知集合,则所有含的“集合类”的个数为       

查看答案和解析>>

科目:高中数学 来源:2016届河北省高三上学期四调文科数学试卷(解析版) 题型:选择题

已知不等式对任意实数都成立,则常数的最小值为( )

A. B. C. D.

查看答案和解析>>

科目:高中数学 来源:2015-2016学年吉林省高二11月月考文科数学卷(解析版) 题型:填空题

不等式的解集是

查看答案和解析>>

科目:高中数学 来源:2015-2016学年吉林省高二11月月考理科数学卷(解析版) 题型:选择题

已知数列是等差数列,是正项等比数列,且,则一定有( )

A. B.

C. D.

查看答案和解析>>

科目:高中数学 来源:2016届宁夏六盘山高中高三上学期第二次月考文科数学试卷(解析版) 题型:选择题

已知,且垂直,则=( )

A、 B、 C、 D、

查看答案和解析>>

科目:高中数学 来源:2016届福建省高三上学期期中考理科数学试卷(解析版) 题型:选择题

设等差数列的前项和为,则( )

A.3 B.4 C.5 D.6

查看答案和解析>>

同步练习册答案