精英家教网 > 高中数学 > 题目详情
已知点(4,2)是直线l被椭圆+=1所截的线段的中点,则直线l的方程是( )
A.x-2y=0
B.x+2y-4=0
C.2x+3y+4=0
D.x+2y-8=0
【答案】分析:利用“点差法”即可得出直线l的斜率,利用点斜式即可得出方程.
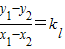
解答:解:设直线l与椭圆相交于两点A(x1,y1),B(x2,y2).
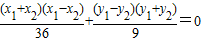
代入椭圆方程可得
两式相减得
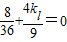
∵x1+x2=2×4=8,y1+y2=2×2=4,
,解得kl=
∴直线l的方程是
即x+2y-8=0.
故选D.
点评:熟练掌握“点差法”是解决“中点弦”问题的关键.
练习册系列答案
相关习题

科目:高中数学 来源: 题型:

精英家教网如图,已知直三棱柱ABC-A1B1C1,∠ACB=90°,E是棱CC1上动点,F是AB中点,AC=BC=2,AA1=4.
(Ⅰ)求证:CF⊥平面ABB1
(Ⅱ)当E是棱CC1中点时,求证:CF∥平面AEB1

查看答案和解析>>

科目:高中数学 来源: 题型:

如图,已知直三棱柱ABC-A1B1C1中,AB=5,AC=4,BC=3,AA1=4,点D在AB上.
(1)若D是AB中点,求证:AC1∥平面B1CD;
(2)当
BD
AB
=
1
5
时,求二面角B-CD-B1的余弦值.

查看答案和解析>>

科目:高中数学 来源: 题型:

如图是一个直三棱柱(以A1B1C1为底面)被一平面所截得到的几何体,截面为ABC.已知A1B1=B1C1=2,∠A1B1C1=90°,AA1=4,BB1=2,CC1=3.
(I)设点O是AB的中点,证明:OC∥平面A1B1C1
(II)求此几何体的体积;
(Ⅲ)点F为AA1上一点,若BF⊥平面COB1,求AF的长.

查看答案和解析>>

科目:高中数学 来源: 题型:

已知直三棱柱ABC-A1B1C1的各棱长均为1,棱BB1所在直线上的动点M满足
BM
BB1
,AM与侧面BB1C1C所成的角为θ,若λ∈[
2
2
2
],则θ的取值范围是(  )

查看答案和解析>>

科目:高中数学 来源: 题型:

(2013•渭南二模)如图,已知直三棱柱ABC-A1B1C1中,∠ACB=90°,E是棱CC1上的动点,F是AB的中点,AC=BC=2,AA1=4.
(1)当E是棱CC1的中点时,求证:CF∥平面AEB1
(2)在棱CC1上是否存在点E,使得二面角A-EB1-B的大小是45°?若存在,求出CE的长,若不存在,请说明理由.

查看答案和解析>>

同步练习册答案