精英家教网 > 高中数学 > 题目详情

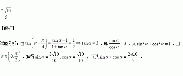
,且,则 _____________.

练习册系列答案
相关习题

科目:高中数学 来源:2016届江西省高三第三次模拟文科数学试卷(解析版) 题型:填空题

若函数定义域为,则函数的定义域为 .

查看答案和解析>>

科目:高中数学 来源:2016年山西省高考冲刺压轴卷三理科数学试卷(解析版) 题型:解答题

已知函数.

(Ⅰ)若曲线在点处的切线与直线垂直,求函数的单调区间;

(Ⅱ)若对都有成立,试求实数的取值范围;

(Ⅲ)记,当时,函数在区间上有两个零点,求实数的取值范围.

查看答案和解析>>

科目:高中数学 来源:2016年山西省高考冲刺压轴卷三理科数学试卷(解析版) 题型:选择题

已知命题:在中,若,则;命题:已知,则“”是“”的必要不充分条件.在命题中,真命题个数为( )

A. B. C. D.

查看答案和解析>>

科目:高中数学 来源:2015-2016学年河北冀州中学高一下期末文科数学试卷(解析版) 题型:解答题

已知向量,若函数

(1)求的最小正周期;

(2)若,求的单调减区间.

查看答案和解析>>

科目:高中数学 来源:2015-2016学年河北冀州中学高一下期末文科数学试卷(解析版) 题型:选择题

在下列四个正方体中,能得出的是( )

A. B.

C. D.

查看答案和解析>>

科目:高中数学 来源:2015-2016学年河北冀州中学高一下期末文科数学试卷(解析版) 题型:选择题

已知是边长为1的等边三角形,则( )

A. B. C. D.

查看答案和解析>>

科目:高中数学 来源:2016届贵州省招生模拟文科数学试卷(解析版) 题型:填空题

已知函数,则 .

查看答案和解析>>

科目:高中数学 来源:2015-2016学年山西省高二3月月考理科数学试卷(解析版) 题型:填空题

对于函数有六个不同的单调区间,则的取值范围为

查看答案和解析>>

同步练习册答案