精英家教网 > 高中数学 > 题目详情
数列{an}的前n项和为Sn,a1=1,an+1=2Sn+1,等差数列{bn}满足b3=3,b5=9,(1)分别求数列{an},{bn}的通项公式;
(2)若对任意的n∈N*恒成立,求实数k的取值范围.
【答案】分析:(1)仿写一个等式,两式相减得到数列{an}的递推关系,判断出数列{an}是等比数列;利用等差数列及等比数列的通项公式分别求出数列{an},{bn}的通项公式.
(2)利用等比数列的前n项和公式求出Sn,分离出参数k,构造新数列{cn},利用后一项减去前一项,
判断出数列{cn}的单调性,求出它的最大值,求出k的范围.
解答:解:(1)由an+1=2Sn+1①
得an=2Sn-1+1②,
①-②得an+1-an=2(Sn-Sn-1),
∴an+1=3an(n≥2)
又a2=3,a1=1也满足上式,
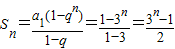
∴an=3n-1;(3分)
b5-b3=2d=6∴d=3
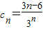
∴bn=3+(n-3)×3=3n-6;(6分)
(2)
对n∈N*恒成立,
对n∈N*恒成立,(8分)

当n≤3时,cn>cn-1,当n≥4时,cn<cn-1,(10分)

所以实数k的取值范围是(12分)
点评:已知数列的项与前n项和间的递推关系求数列的通项,一般通过仿写作差的方法得到数列的递推关系,再据递推关系选择合适的求通项方法.
练习册系列答案
相关习题

科目:高中数学 来源: 题型:

设等比数列{an}的公比q≠1,Sn表示数列{an}的前n项的和,Tn表示数列{an}的前n项的乘积,Tn(k)表示{an}的前n项中除去第k项后剩余的n-1项的乘积,即Tn(k)=
Tn
ak
(n,k∈N+,k≤n),则数列
SnTn
Tn(1)+Tn(2)+…+Tn(n)
的前n项的和是
a12
2-q-q-1
(n+nq-
q-qn+1+1-q1-n
1-q
a12
2-q-q-1
(n+nq-
q-qn+1+1-q1-n
1-q
(用a1和q表示)

查看答案和解析>>

科目:高中数学 来源: 题型:

若数列{an}的通项an=
1
pn-q
,实数p,q满足p>q>0且p>1,sn为数列{an}的前n项和.
(1)求证:当n≥2时,pan<an-1
(2)求证sn
p
(p-1)(p-q)
(1-
1
pn
)

(3)若an=
1
(2n-1)(2n+1-1)
,求证sn
2
3

查看答案和解析>>

科目:高中数学 来源: 题型:

已知Sn是数列{an}的前n项和,an>0,Sn=
a
2
n
+an
2
,n∈N*
(1)求证:{an}是等差数列;
(2)若数列{bn}满足b1=2,bn+1=2an+bn,求数列{bn}的通项公式bn

查看答案和解析>>

科目:高中数学 来源: 题型:

(2012•商丘二模)数列{an}的前n项和为Sn,若数列{an}的各项按如下规律排列:
1
2
1
3
2
3
1
4
2
4
3
4
1
5
2
5
3
5
4
5
…,
1
n
2
n
,…,
n-1
n
,…有如下运算和结论:
①a24=
3
8

②数列a1,a2+a3,a4+a5+a6,a7+a8+a9+a10,…是等比数列;
③数列a1,a2+a3,a4+a5+a6,a7+a8+a9+a10,…的前n项和为Tn=
n2+n
4

④若存在正整数k,使Sk<10,Sk+1≥10,则ak=
5
7

其中正确的结论是
①③④
①③④
.(将你认为正确的结论序号都填上)

查看答案和解析>>

科目:高中数学 来源: 题型:

给出下列命题:
①若数列{an}的前n项和Sn=2n+1,则数列{an}为等比数列;
②在△ABC中,如果A=60°,a=
6
,b=4
,那么满足条件的△ABC有两解;
③设函数f(x)=x|x-a|+b,则函数f(x)为奇函数的充要条件是a2+b2=0;
④设直线系M:xcosθ+(y-2)sinθ=1(0≤θ≤2π),则M中的直线所能围成的正三角形面积都相等.
其中真命题的序号是

查看答案和解析>>

同步练习册答案