精英家教网 > 高中数学 > 题目详情

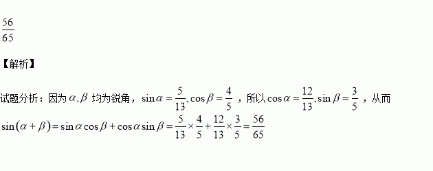
均为锐角,,则

练习册系列答案
相关习题

科目:高中数学 来源:2015-2016学年河北省高一6月月考数学试卷(解析版) 题型:填空题

在平面直角坐标系xOy中,已知圆上有且只有四个点到直线的距离为1,则实数c的取值范围是________.

查看答案和解析>>

科目:高中数学 来源:2015-2016学年河南南阳一中高二下第二次月考理科数学卷(解析版) 题型:解答题

将一个半径适当的小球放入如图所示的容器最上方的入口处, 小球将自由下落, 小球在下落过程中, 将次遇到黑色障碍物, 最后落入内袋或外袋中, 已知小球每次遇到黑色障碍物时向左、右两边下落的概率都是.

(1)求小球落入袋中的概率

(2)在容器入口处依次放入个小球, 记为落入袋中小球的个数,试求的概率和的数学期望.

查看答案和解析>>

科目:高中数学 来源:2015-2016学年河南南阳一中高二下第二次月考理科数学卷(解析版) 题型:选择题

三个数字组成一个四位数, 规定这三个数必须全部使用, 且同一数字不能相邻出现, 这样的四位数有( )

A.个 B.个 C.个 D.

查看答案和解析>>

科目:高中数学 来源:2015-2016学年山东省高一6月月考数学试卷(解析版) 题型:解答题

中, ,记

(1)求的值;

(2)求的值;

查看答案和解析>>

科目:高中数学 来源:2015-2016学年山东省高一6月月考数学试卷(解析版) 题型:选择题

函数的部分图象是( )

查看答案和解析>>

科目:高中数学 来源:2015-2016学年山东省高一6月月考数学试卷(解析版) 题型:选择题

化简得( )

A. B. C. D.

查看答案和解析>>

科目:高中数学 来源:2016届安徽省高三下学期冲刺模拟文科数学A卷(解析版) 题型:选择题

已知函数,实数满足若实数为方程的一个解,那么下列不等式中,不可能成立的是( )

A. B. C. D.

查看答案和解析>>

科目:高中数学 来源:2016届安徽省高三下学期冲刺模拟文科数学C卷(解析版) 题型:填空题

在半径为的球面上有不同的四点,若,则平面被球所截得图形的面积为

查看答案和解析>>

同步练习册答案