精英家教网 > 高中数学 > 题目详情

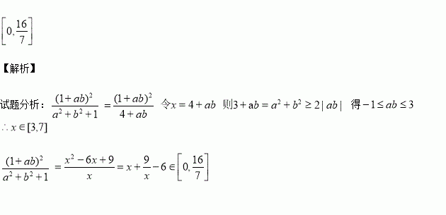
已知实数,若的值域为

练习册系列答案
相关习题

科目:高中数学 来源:2017届广东海珠区高三上学期调研测试一数学文试卷(解析版) 题型:选择题

在平面直角坐标系中,已知点和坐标满足的动点,则目标函数的最大值为( )

A.4 B.5 C.6 D.7

查看答案和解析>>

科目:高中数学 来源:2017届山东肥城市高三上学期升级统测数学(文)试卷(解析版) 题型:选择题

若非零向量满足,且,则的夹角为( )

A. B. C. D.

查看答案和解析>>

科目:高中数学 来源:2017届山东肥城市高三上学期升级统测数学(理)试卷(解析版) 题型:填空题

执行如图所示的程序框图,若输入的值为,则输出的值是

查看答案和解析>>

科目:高中数学 来源:2017届山东肥城市高三上学期升级统测数学(理)试卷(解析版) 题型:选择题

在平面直角坐标系中,为不等式组所表示的区域上一动点,已知点,则直线斜率的最小值为( )

A. B. C. D.

查看答案和解析>>

科目:高中数学 来源:2015-2016山西省高二下期末考试理科数学卷(解析版) 题型:解答题

如图(1),等腰直角三角形的底边,点在线段上,,现将沿折起到的位置(如图(2))

(1)求证:

(2)若,直线与平面所成的角为,求长.

查看答案和解析>>

科目:高中数学 来源:2015-2016山西省高二下期末考试理科数学卷(解析版) 题型:选择题

已知是定义在R上的减函数,其导函数满足,则下列结论正确的是( )

A. 当时,>0; 当时,

B. 当时,; 当时,

C. 对于任意R,>0

D. 对于任意R,<0

查看答案和解析>>

科目:高中数学 来源:2015-2016内蒙古高二上第二次月考文科数学卷(解析版) 题型:解答题

中D是BC上的点,AD平分,BD=2DC.

(1)求(2)若.

查看答案和解析>>

科目:高中数学 来源:2017届黑龙江双鸭山一中高三上学期质检一数学(文)试卷(解析版) 题型:解答题

的内角所对的边分别为,已知向量,若共线,且为钝角.

(1)证明:

(2)若,求的面积.

查看答案和解析>>

同步练习册答案