精英家教网 > 高中数学 > 题目详情

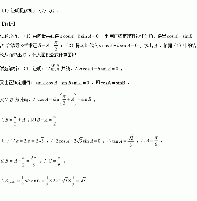
的内角所对的边分别为,已知向量,若共线,且为钝角.

(1)证明:

(2)若,求的面积.

练习册系列答案
相关习题

科目:高中数学 来源:2015-2016山西省高二下期末考试理科数学卷(解析版) 题型:填空题

已知实数,若的值域为

查看答案和解析>>

科目:高中数学 来源:2015-2016内蒙古高二上第二次月考文科数学卷(解析版) 题型:选择题

我国古代数学名著《九章算术》有“米谷粒分”题:粮仓开仓收粮,有人送来米1534石,验得米内夹谷,抽样取米一把,数得254粒内夹谷28粒,则这批米内夹谷约为( )

A.134石 B.169石 C.338石 D.1365石

查看答案和解析>>

科目:高中数学 来源:2017届宁夏高三上学期月考一数学(文)试卷(解析版) 题型:选择题

已知( )

A. B. C. D.

查看答案和解析>>

科目:高中数学 来源:2017届宁夏高三上学期月考一数学(文)试卷(解析版) 题型:选择题

已知向量,若,则实数的值为( )

A.-3 B. C. D.2

查看答案和解析>>

科目:高中数学 来源:2017届黑龙江双鸭山一中高三上学期质检一数学(文)试卷(解析版) 题型:填空题

如图,函数的图象在点处的切线方程是,则

查看答案和解析>>

科目:高中数学 来源:2017届黑龙江双鸭山一中高三上学期质检一数学(文)试卷(解析版) 题型:选择题

若函数恰有三个不同的零点,则实数的最大值是( )

A.1 B.1.5 C.2 D.2.5

查看答案和解析>>

科目:高中数学 来源:2017届河南濮阳第一高级中学高三上学期检测二数学(文)试卷(解析版) 题型:填空题

_______.

查看答案和解析>>

科目:高中数学 来源:2015-2016学年山西省高一下期末考试数学卷(解析版) 题型:解答题

设公比不为1的等比数列的前项和为已知的等差中项,且

(1)求;

(2) 已知等差数列的前项和,求.

查看答案和解析>>

同步练习册答案