精英家教网 > 高中数学 > 题目详情

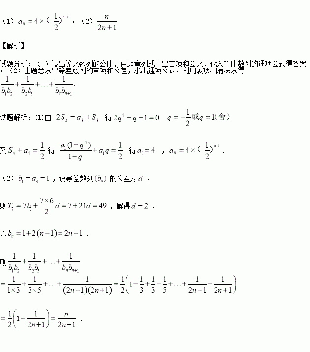
设公比不为1的等比数列的前项和为已知的等差中项,且

(1)求;

(2) 已知等差数列的前项和,求.

练习册系列答案
相关习题

科目:高中数学 来源:2017届黑龙江双鸭山一中高三上学期质检一数学(文)试卷(解析版) 题型:解答题

的内角所对的边分别为,已知向量,若共线,且为钝角.

(1)证明:

(2)若,求的面积.

查看答案和解析>>

科目:高中数学 来源:2017届河南濮阳第一高级中学高三上学期检测二数学(文)试卷(解析版) 题型:选择题

设集合,则中元素的个数为( )

A.2 B.3 C.4 D.5

查看答案和解析>>

科目:高中数学 来源:2016-2017贵州遵义航天高级中学高一上入学考试数学卷(解析版) 题型:填空题

我国南海海域的面积约为3600000km2,该面积用科学记数法应表示为 km2.

查看答案和解析>>

科目:高中数学 来源:2016-2017贵州遵义航天高级中学高一上入学考试数学卷(解析版) 题型:选择题

中央电视台有一个非常受欢迎的娱乐节目:墙来了!选手需按墙上的空洞造型摆出相同姿势,才能穿墙而过,否则会被墙推入水池.类似地,有一个几何体恰好无缝隙地以三个不同形状的“姿势”穿过“墙”上的三个空洞,则该几何体为( )

A. B. C. D.

查看答案和解析>>

科目:高中数学 来源:2015-2016学年山西省高一下期末考试数学卷(解析版) 题型:填空题

若对任意恒成立,则的取值范围是

查看答案和解析>>

科目:高中数学 来源:2015-2016学年山西省高一下期末考试数学卷(解析版) 题型:选择题

等比数列中,已知对任意正整数,则等于( )

A. B. C. D.

查看答案和解析>>

科目:高中数学 来源:2015-2016新疆建设兵团二中高二下第三次月考理科数学卷(解析版) 题型:选择题

把一枚硬币连续抛掷两次,事件“第一次出现正面”,事件“第二次出现正面”,则

( )

A. B. C. D.

查看答案和解析>>

科目:高中数学 来源:2015-2016新疆哈密地区二中高二下期末考试理科数学卷(解析版) 题型:填空题

椭圆的焦点坐标为________.

查看答案和解析>>

同步练习册答案