精英家教网 > 高中数学 > 题目详情

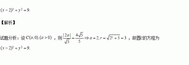
已知圆C的圆心在x轴的正半轴上,点在圆C上,且圆心到直线的距离为,则圆C的方程为__________.

练习册系列答案
相关习题

科目:高中数学 来源:2016年全国普通高等学校招生统一考试文科数学(浙江卷参考版) 题型:解答题

在△ABC中,内角A,B,C所对的边分别为a,b,c.已知b+c=2acos B.

(Ⅰ)证明:A=2B;

(Ⅱ)若cos B=,求cos C的值.

查看答案和解析>>

科目:高中数学 来源:2016年全国普通高等学校招生统一考试数学(江苏卷参考版) 题型:填空题

已知集合________________.

查看答案和解析>>

科目:高中数学 来源:2016年全国普通高等学校招生统一考试理科数学(天津卷参考版) 题型:选择题

阅读右边的程序框图,运行相应的程序,则输出S的值为( )

(A)2 (B)4 (C)6 (D)8

查看答案和解析>>

科目:高中数学 来源:2016年全国普通高等学校招生统一考试文科数学(天津卷参考版) 题型:解答题

如图,四边形ABCD是平行四边形,平面AED⊥平面ABCD,EF||AB,AB=2,BC=EF=1,AE=,DE=3,∠BAD=60º,G为BC的中点.

(Ⅰ)求证:FG||平面BED;

(Ⅱ)求证:平面BED⊥平面AED;

(Ⅲ)求直线EF与平面BED所成角的正弦值.

查看答案和解析>>

科目:高中数学 来源:2016年全国普通高等学校招生统一考试文科数学(天津卷参考版) 题型:选择题

已知△ABC是边长为1的等边三角形,点分别是边的中点,连接并延长到点,使得,则的值为( )

(A) (B) (C) (D)

查看答案和解析>>

科目:高中数学 来源:2016年全国普通高等学校招生统一考试文科数学(北京卷参考版) 题型:解答题

设函数

(Ⅰ)求曲线在点处的切线方程;

(Ⅱ)设,若函数有三个不同零点,求c的取值范围;

(Ⅲ)求证:有三个不同零点的必要而不充分条件.

查看答案和解析>>

科目:高中数学 来源:2016年全国普通高等学校招生统一考试文科数学(北京卷参考版) 题型:选择题

执行如图所示的程序框图,输出的s值为

(A)8

(B)9

(C)27

(D)36

查看答案和解析>>

科目:高中数学 来源:2016年全国普通高等学校招生统一考试文科数学(全国3卷参考版) 题型:选择题

如图,网格纸上小正方形的边长为1,粗实现画出的是某多面体的三视图,则该多面体的表面积为

(A) (B) (C)90 (D)81

查看答案和解析>>

同步练习册答案