精英家教网 > 高中数学 > 题目详情

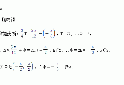
函数f(x)=2sin(ωx+φ)(ω>0,-<φ<)的部分图像如图所示,则ω,φ的值分别是( )

A.2,- B.2,- C.4,- D.4,

练习册系列答案
相关习题

科目:高中数学 来源:2015-2016学年广西钦州港经济技术开发区中学高二上期中文科数学卷(解析版) 题型:选择题

水平放置的△ABC的直观图如图,其中B′O′=C′O′=1,A′O′=,那么原△ABC是一个( )

A.等边三角形

B.直角三角形

C.三边中只有两边相等的等腰三角形

D.三边互不相等的三角形

查看答案和解析>>

科目:高中数学 来源:2015-2016学年河北邢台一中高二上第三次月考理科数学卷(解析版) 题型:填空题

已知椭圆: ,左右焦点分别为,过的直线交椭圆于 两点,则的最大值为________.

查看答案和解析>>

科目:高中数学 来源:2015-2016学年四川省实验学校高一上学期期中考试数学试卷(解析版) 题型:填空题

若存在,使得不等式成立,则实数______.

查看答案和解析>>

科目:高中数学 来源:2015-2016学年贵州省高二上滾动训练4数学试卷(解析版) 题型:选择题

已知平面向量=(2,4),=(-1,2),若,则等于( ).

A.4 B.2 C.8 D.8

查看答案和解析>>

科目:高中数学 来源:2015-2016学年贵州省高二上滾动训练2数学试卷(解析版) 题型:填空题

一个几何体的三视图及其尺寸如图(单位:cm),则该几何体的表面积为

查看答案和解析>>

科目:高中数学 来源:2015-2016学年贵州省高二上滾动训练1数学试卷(解析版) 题型:选择题

已知某几何体的三视图如下,根据图中标出的尺寸(单位:cm),可得这个几何体的体积是( )

A.cm3 B.cm3

C.cm3 D.cm3

查看答案和解析>>

科目:高中数学 来源:2015-2016年北大附中河南分校高二宏志班上抽考文数学卷(解析版) 题型:选择题

已知数列的通项),我们把使为整数的叫做优数,则在内所有优数的和为( )

A. B. C. D.

查看答案和解析>>

科目:高中数学 来源:2016届内蒙古赤峰二中高三上12月月考文科数学试卷(解析版) 题型:解答题

已知函数:

(Ⅰ)讨论函数的单调性;

(Ⅱ)若对于任意的,若函数在区间上有最值,

求实数的取值范围.

查看答案和解析>>

同步练习册答案