精英家教网 > 高中数学 > 题目详情
求与点M(4,3)的距离为5,且在两坐标轴上的截距相等的直线方程。
解:①当截距不为零时,
设所求直线方程为,即x+y-a=0,
因为点M(4,3)与所求直线的距离为5,
所以,解得a=7±5
所以,此时所求直线的方程为x+y-7-5=0或x+y-7+5=0。
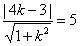
②当截距为零时,
设所求直线为y=kx,
因为,即(4k-3)2=25(k2+1),解得k=
所以,此时所求直线方程为y=x;
综上所述,所求直线的方程为x+y-7-5=0或x+y-7+5=0或y=x。
练习册系列答案
相关习题

科目:高中数学 来源: 题型:

已知圆O的方程为x2+y2=16.
(1)求过点M(-4,8)的圆O的切线方程;
(2)过点N(3,0)作直线与圆O交于A、B两点,求△OAB的最大面积以及此时直线AB的斜率.

查看答案和解析>>

科目:高中数学 来源: 题型:解答题

已知圆O的方程为x2+y2=16.
(1)求过点M(-4,8)的圆O的切线方程;
(2)过点N(3,0)作直线与圆O交于A、B两点,求△OAB的最大面积以及此时直线AB的斜率.

查看答案和解析>>

科目:高中数学 来源:不详 题型:解答题

已知圆O的方程为x2+y2=16.
(1)求过点M(-4,8)的圆O的切线方程;
(2)过点N(3,0)作直线与圆O交于A、B两点,求△OAB的最大面积以及此时直线AB的斜率.

查看答案和解析>>

科目:高中数学 来源:2010-2011学年山东省济南市高三(上)12月质量调研数学试卷A(理科)(解析版) 题型:解答题

已知圆O的方程为x2+y2=16.
(1)求过点M(-4,8)的圆O的切线方程;
(2)过点N(3,0)作直线与圆O交于A、B两点,求△OAB的最大面积以及此时直线AB的斜率.

查看答案和解析>>

同步练习册答案