精英家教网 > 高中数学 > 题目详情
等比数列{an}中,a1=3,a1+a2=9,则a2+a3+a4=( )
A.33
B.72
C.42
D.21
【答案】分析:由题意∵{an}为等比数列,以及a1=3,a1+a2=9,可求出公比q,再代入等比数列的前n项和公式即可.
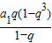
解答:解:∵数列{an}a1=3,a1+a2=9,∴a2=6,又∵{an}为等比数列,∴a2=a1q,∴q=2,a2+a3+a4==42.
故选C
点评:本题考查了等比数列的通项公式和前n项和公式,为基础题型,必须掌握解法.
练习册系列答案
相关习题

科目:高中数学 来源: 题型:

等比数列{an}中,a2=18,a4=8,则公比q等于(  )

查看答案和解析>>

科目:高中数学 来源: 题型:

已知等比数列{an}中,a1=0,an+1=
1
2-an

(Ⅰ)求数列{an}的通项公式an
(Ⅱ)设数列{an}的前n项和为Sn,证明:Sn<n-ln(n+1);
(Ⅲ)设bn=an
9
10
n,证明:对任意的正整数n、m,均有|bn-bm|<
3
5

查看答案和解析>>

科目:高中数学 来源: 题型:

在等比数列{an}中,a3=2,a7=32,则a5=
8
8

查看答案和解析>>

科目:高中数学 来源: 题型:

已知等比数列{an}中,an=2×3n-1,则由此数列的奇数项所组成的新数列的前n项和为
9n-1
4
9n-1
4

查看答案和解析>>

科目:高中数学 来源: 题型:

在等比数列{an}中,已知对n∈N*有a1+a2+…+an=2n-1,那么
a
2
1
+
a
2
2
+…+
a
2
n
等于(  )

查看答案和解析>>

同步练习册答案