精英家教网 > 高中数学 > 题目详情

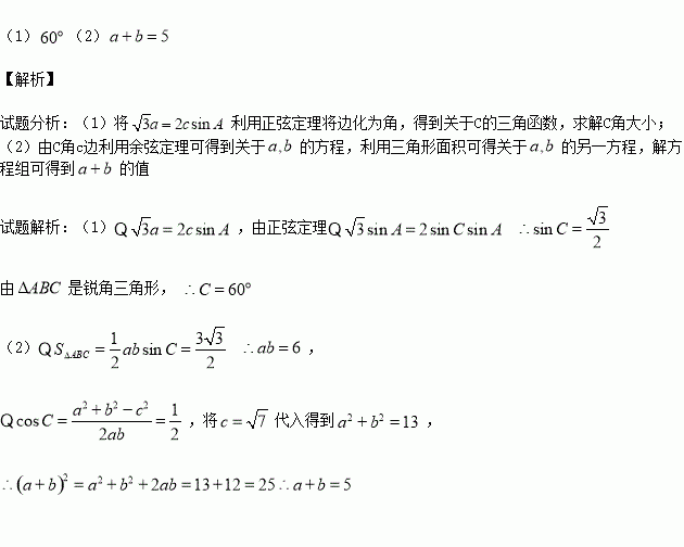
(本小题满分12分)在锐角中,分别是角所对的边,且

(1)确定角的大小;

(2)若,且的面积为,求的值.

练习册系列答案
相关习题

科目:高中数学 来源:2015-2016学年吉林省扶余市高一上学期期中考试数学试卷(解析版) 题型:选择题

( )

A.6 B.5 C.4 D.3

查看答案和解析>>

科目:高中数学 来源:2014-2015学年上海市高二下学期期末考试数学试卷(解析版) 题型:填空题

已知,则

查看答案和解析>>

科目:高中数学 来源:2015-2016学年辽宁省大连市高二上期中理科数学试卷(解析版) 题型:解答题

(本小题满分12分)

已知动点在双曲线上,定点,求的最小值以及取最小值时点的横坐标.

查看答案和解析>>

科目:高中数学 来源:2015-2016学年江西省等三校高二上第一次联考数学试卷(解析版) 题型:填空题

与直线2x+3y+5=0平行,且在两坐标轴上截距的和为6的直线方程是________

查看答案和解析>>

科目:高中数学 来源:2015-2016学年江西省赣州市十三县高二上期中联考理科数学试卷(解析版) 题型:解答题

(本题12分)

如图,是圆柱的轴截面,是底面圆周上异于的一点,

(1)求证:平面⊥平面

(2)求几何体的体积的最大值.

查看答案和解析>>

科目:高中数学 来源:2015-2016学年湖南省高一上学期期中考试数学试卷(解析版) 题型:选择题

函数y=|lg(x+1)|的图象是 ( )

查看答案和解析>>

科目:高中数学 来源:2015-2016学年河北省邢台市高二上第一次月考数学试卷(解析版) 题型:选择题

正四棱锥的底面边长为,高,则过点的球的半径为( )

A.3 B.4 C.5 D.6

查看答案和解析>>

科目:高中数学 来源:2016届辽宁省葫芦岛市高三上学期期中理科数学试卷(解析版) 题型:解答题

(本小题满分12分)数列的每一项都是正数,,且成等差数列,成等比数列,

(Ⅰ)求的值;

(Ⅱ)求数列 的通项公式;

(Ⅲ)证明:对一切正整数,有

查看答案和解析>>

同步练习册答案