精英家教网 > 高中数学 > 题目详情
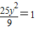
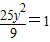
已知A、B是椭圆上的两点,F2是椭圆的右焦点,如果|AF2|+|BF2|=,AB的中点到椭圆左准线距离为,则椭圆的方程    
【答案】分析:由椭圆的第一定义求出|AF1|+|BF1|,利用椭圆的第二定义及梯形中位线的性质求出a的值,从而得到椭圆方程.
解答:解:∵|AF2|+|BF2|=,∴2a-|AF1|+2a-|BF1|=,∴|AF1|+|BF1|=a,
记AB的中点为M,A、B、M在椭圆左准线上的射影分别为A1、B1,M1
由椭圆第二定义知:|AF1|=e|AA1|,|BF1|=e|BB1|,于是有:e(|AA1|+|BB1|)=,而e=
∴|AA1|+|BB1|=3a∴2|MM1|=3a,又|MM1|=,∴a=1,故椭圆方程为 x2+
故答案为 x2+
点评:本题考查椭圆的第一定义、第二定义,椭圆的标准方程,以及梯形的中位线的性质.
练习册系列答案
相关习题

科目:高中数学 来源: 题型:单选题

已知A,B是椭圆数学公式上的两点,F2是其右焦点,如果|AF2|+|BF2|=8,则AB的中点到椭圆左准线的距离为


  1. A.
    6
  2. B.
    8
  3. C.
    10
  4. D.
    12

查看答案和解析>>

科目:高中数学 来源: 题型:填空题

已知A、B是椭圆数学公式上的两点,F2是椭圆的右焦点,如果|AF2|+|BF2|=数学公式,AB的中点到椭圆左准线距离为数学公式,则椭圆的方程 ________.

查看答案和解析>>

科目:高中数学 来源:2010-2011学年河北省保定市蠡县中学高二(下)月考数学试卷(理科)(解析版) 题型:选择题

已知A,B是椭圆上的两点,F2是其右焦点,如果|AF2|+|BF2|=8,则AB的中点到椭圆左准线的距离为( )
A.6
B.8
C.10
D.12

查看答案和解析>>

科目:高中数学 来源:2011年高三数学精品复习15:椭圆及其性质(解析版) 题型:解答题

已知A、B是椭圆上的两点,F2是椭圆的右焦点,如果|AF2|+|BF2|=,AB的中点到椭圆左准线距离为,则椭圆的方程    

查看答案和解析>>

同步练习册答案