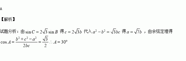
精英家教网 > 高中数学 > 题目详情

中,内角的对边分别是,若,则

( )

A.30° B.60° C.120° D.150°

练习册系列答案
相关习题

科目:高中数学 来源:2015-2016学年吉林省扶余市高二上学期期中考试理科数学试卷(解析版) 题型:解答题

设数列满足

(1)求数列的通项公式;

(2)令,求数列的前n项和

查看答案和解析>>

科目:高中数学 来源:2015-2016学年山东省临沂市高二上期中模拟理数学试卷(解析版) 题型:填空题

已知f(x)=

(1)若函数有最大值求实数的值;

(2)若不等式对一切实数恒成立,求实数的取值范围

查看答案和解析>>

科目:高中数学 来源:2015-2016学年江西省等三校高二上第一次联考数学试卷(解析版) 题型:填空题

和β为不重合的两个平面,给出下列结论:

(1)若内的两条相交直线分别平行于β内的两条直线,则平行于β;

(2)若外一条直线l与内的一条直线平行,则l和平行;

(3)设和β相交于直线l,若内有一条直线垂直于l,则和β垂直;

(4)直线l与垂直等价于l与内的两条直线垂直.

其中正确结论的序号是________.

查看答案和解析>>

科目:高中数学 来源:2015-2016学年江西省赣州市十三县高二上期中联考文科数学试卷(解析版) 题型:选择题

的直线l与圆 交于A、B两点,当面积最大时,直线的方程为( )

A. B.

C. D.

查看答案和解析>>

科目:高中数学 来源:2015-2016学年湖南省高一上学期期中考试数学试卷(解析版) 题型:选择题

在一次数学实验中,运用计算器采集到如下一组数据:

x

-2.0

-1.0

0

1.00

2.00

3.00

y

0.24

0.51

1

2.02

3.98

8.02

则x,y的函数关系与下列哪类函数最接近(其中,a,b为待定系数)( )

A.y=a+bx B.y=a+bx

C.y=a+logbx D.y=a+

查看答案和解析>>

科目:高中数学 来源:2015-2016学年湖北省宜昌市高二上期中文科数学试卷(解析版) 题型:选择题

过点M(-2,a)和点N(a,4)的直线的倾斜角为,则a的值为( )

A.1或4 B.4 C.1或3 D.1

查看答案和解析>>

科目:高中数学 来源:2015-2016学年广东省普宁市高二上期中文科数学试卷(解析版) 题型:选择题

”是“”的( )

A.充分而不必要条件 B.必要而不充分条件

C.充分必要条件 D.既不充分也不必要条件

查看答案和解析>>

科目:高中数学 来源:2016届辽宁省抚顺市高三上学期第一次模拟文科数学试卷(解析版) 题型:解答题

(本小题满分12分)已知函数

(Ⅰ)讨论的单调性;

(Ⅱ)当有最大值,且最大值大于时,求的取值范围.

查看答案和解析>>

同步练习册答案