精英家教网 > 高中数学 > 题目详情

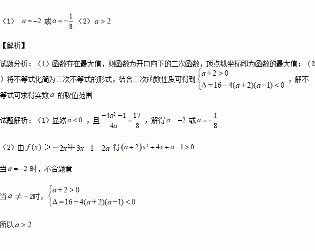
已知f(x)=

(1)若函数有最大值求实数的值;

(2)若不等式对一切实数恒成立,求实数的取值范围

练习册系列答案
相关习题

科目:高中数学 来源:2015-2016学年湖南省高二上学期期中文科数学试卷(解析版) 题型:选择题

=( )

A. B. C. D.

查看答案和解析>>

科目:高中数学 来源:2015-2016学年福建省高一上学期期中考试数学试卷(解析版) 题型:解答题

(本小题满分12分)已知是定义在上的偶函数,且当时,

(1)求的解析式;

(2)在所给的坐标系内画出函数的草图,并求方程恰有两个不同实根时的实数的取值范围.

查看答案和解析>>

科目:高中数学 来源:2014-2015学年上海市高二下学期期末考试数学试卷(解析版) 题型:解答题

(本题满分18分) 本题共有3个小题,第1小题满分5分,第2小题满分8分,第3小题满分5分.

定义:由椭圆的两个焦点和短轴的一个顶点组成的三角形称为该椭圆的“特征三角形”.如果两个椭圆的“特征三角形”是相似的,则称这两个椭圆是“相似椭圆”,并将三角形的相似比称为椭圆的相似比.已知椭圆

(1)若椭圆,判断是否相似?如果相似,求出的相似比;如果不相似,请说明理由;

(2)写出与椭圆相似且焦点在轴上、短半轴长为的椭圆的标准方程;若在椭圆上存在两点关于直线对称,求实数的取值范围;

(3)如图:直线与两个“相似椭圆”分别交于点和点,试在椭圆和椭圆上分别作出点和点(非椭圆顶点),使组成以为相似比的两个相似三角形,写出具体作法.(不必证明)

查看答案和解析>>

科目:高中数学 来源:2015-2016学年重庆市高二上第一次月考理科数学试卷(解析版) 题型:解答题

已知数列的前项和为,且满足,若不等对于恒成立,则自然数的最大值为

查看答案和解析>>

科目:高中数学 来源:2015-2016学年辽宁省大连市高二上期中文科数学试卷(解析版) 题型:解答题

(本小题满分12分)

已知椭圆,其左右焦点分别为.对于命题”.写出,判断的真假,并说明理由.

查看答案和解析>>

科目:高中数学 来源:2015-2016学年辽宁省大连市高二上期中理科数学试卷(解析版) 题型:选择题

已知命题椭圆离心率越大,椭圆越扁;命题双曲线上一点到左焦点距离为,则到右焦点距离为. 则下列命题中为真命题的是

(A) (B)

(C) (D)

查看答案和解析>>

科目:高中数学 来源:2015-2016学年江西省赣州市十三县高二上期中联考理科数学试卷(解析版) 题型:选择题

中,内角的对边分别是,若,则

( )

A.30° B.60° C.120° D.150°

查看答案和解析>>

科目:高中数学 来源:2016届重庆市高三上学期第三次月考理科数学试卷(解析版) 题型:解答题

(本小题满分10分)选修4—1:几何证明选讲

如图所示,的直径,于点于点的延长线交于点的延长线交于点

(1)求证:

(2)若的直径,求的值.

查看答案和解析>>

同步练习册答案