精英家教网 > 高中数学 > 题目详情

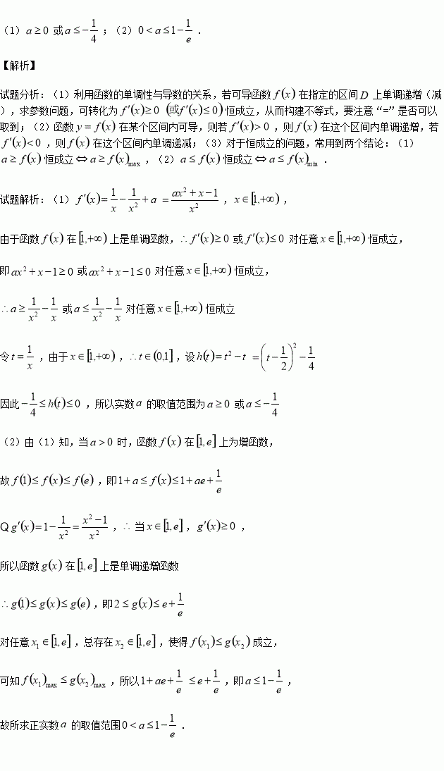
(本小题满分12分)已知函数

(1)若函数上是单调函数,求实数的取值范围;

(2)已知函数,对于任意,总存在,使得成立,求正实数的取值范围.

练习册系列答案
相关习题

科目:高中数学 来源:2015-2016学年内蒙古赤峰平煤高中高二上学期月考数学试卷(解析版) 题型:选择题

用秦九韶算法求多项式f(x)=12+35x-8x2+79x3+6x4+5x5+3x6的值,当x=-4时,v4的值为( )

A.-57 B.124 C.-845 D.220

查看答案和解析>>

科目:高中数学 来源:2015-2016学年江西省南昌市高二10月月考数学试卷(解析版) 题型:填空题

若直线m被两平行线l1:与l2:所截得的线段的长为,则直线m的倾斜角为

查看答案和解析>>

科目:高中数学 来源:2016届浙江宁波效实中学高三上期中考试理科数学试卷(解析版) 题型:选择题

函数图象的一条对称轴在内,则满足此条件的一个值为( )

A. B. C. D.

查看答案和解析>>

科目:高中数学 来源:2016届山东省高三第二次诊断性考试理科数学试卷(解析版) 题型:解答题

(本小题满分14分)

已知函数

(Ⅰ)当时,求在区间上的最值;

(Ⅱ)讨论函数的单调性;

(Ⅲ)当时,有恒成立,求的取值范围.

查看答案和解析>>

科目:高中数学 来源:2016届河南省原名校高三上学期第一次联考文科数学试卷(解析版) 题型:选择题

对任意实数定义运算“”:,设,若函数有三个零点,则的取值范围是( )

A. B. C. D.

查看答案和解析>>

科目:高中数学 来源:2015-2016学年浙江省宁波市高一上期中数学试卷(解析版) 题型:选择题

,函数满足,若,则的最小值为( )

A. B. C. D.

查看答案和解析>>

科目:高中数学 来源:2015-2016学年辽宁省大连市高二10月月考数学试卷(解析版) 题型:解答题

下表提供了某厂节能降耗技术改造后生产甲产品过程中记录的产量(吨)与相应的生产能耗(吨标准煤)的几组对照数据

3

4

5

6

2.5

3

4

4.5

(1)请根据上表提供的数据,用最小二乘法求出关于的线性回归方程

(2)已知该厂技术改造前100吨甲产品能耗为90吨标准煤.试根据(1)求出的线性回归方程,预测生产100吨甲产品的生产能耗比技术改造前降低多少吨标准煤?

查看答案和解析>>

科目:高中数学 来源:2014-2015学年浙江省等三校高二上学期期中考试数学试卷(解析版) 题型:解答题

已知△ABC中,A,B,C所对的边分别为a,b,c,已知m=(sin C,sin Bcos A),n=(b,2c),且m·n=0.

(1)求A的大小;

(2)若a=2,c=2,求△ABC的面积S的大小.

查看答案和解析>>

同步练习册答案