精英家教网 > 高中数学 > 题目详情

在锐角中,角所对的边长分别为,若,则角等于( )

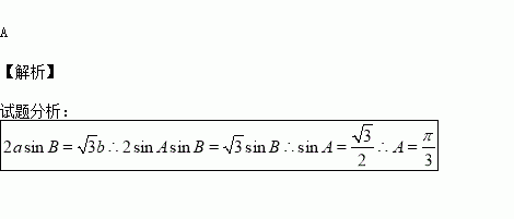
A. B. C. D.

练习册系列答案
相关习题

科目:高中数学 来源:2015-2016学年江西省高二3月月考理科数学试卷(解析版) 题型:选择题

已知,由此推算:当n≥2时,有( )

A. B.

C. D.

查看答案和解析>>

科目:高中数学 来源:2015-2016学年江西省赣州市十三县高二下学期期中理科数学试卷(解析版) 题型:选择题

四棱柱ABCD—A1B1C1D1的三视图如右图所示.则异面直线D1C与 A C1所成的角为( )

A. 30° B. 45° C. 60° D. 90°

查看答案和解析>>

科目:高中数学 来源:2015-2016学年四川省雅安市高一下学期期中文科数学试卷(解析版) 题型:填空题

中,若,则 .

查看答案和解析>>

科目:高中数学 来源:2015-2016学年四川省雅安市高一下学期期中文科数学试卷(解析版) 题型:选择题

已知A,B,C是锐角△ABC的三个内角,向量=(sin A,1),=(1,-cos B),则的夹角是( )

A.锐角 B.钝角 C.直角 D.不确定

查看答案和解析>>

科目:高中数学 来源:2015-2016学年四川省雅安市高一下学期期中理科数学试卷(解析版) 题型:解答题

已知向量的夹角为,||=2,||=3,记,

(1)若,求实数k的值。

(2)是否存在实数k,使得?说明理由。

查看答案和解析>>

科目:高中数学 来源:2015-2016学年四川省雅安市高一下学期期中理科数学试卷(解析版) 题型:选择题

设0≤θ≤2π,向量=(cos θ,sin θ),=(2+sin θ,2-cos θ),则向量的模长的最大值为( )

A. B. C. D.

查看答案和解析>>

科目:高中数学 来源:2015-2016学年贵州遵义一中高一下第二次联考数学试卷(解析版) 题型:解答题

设等比数列的前项和为,已知.

(1)求数列的通项公式;

(2)求该数列的前项和为.

查看答案和解析>>

科目:高中数学 来源:2016届吉林省高三五模文科数学试卷(解析版) 题型:解答题

设函数

(1)求不等式的解集;

(2)对任意实数,不等式成立,求实数的取值范围

查看答案和解析>>

同步练习册答案