精英家教网 > 高中数学 > 题目详情

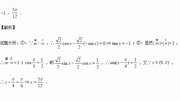
向量,①若,则

②若的夹角为,则

练习册系列答案
相关习题

科目:高中数学 来源:2016届福建省高三上学期期中理科数学试卷(解析版) 题型:选择题

,是第三象限的角,则( )

A. B. C.2 D.-2

查看答案和解析>>

科目:高中数学 来源:2015-2016学年广东省佛山市高一上学期期中数学试卷(解析版) 题型:解答题

(本题满分12分)

(Ⅰ)若且对任意实数

(Ⅱ)在(Ⅰ)的条件下,当是单调函数,求实数 的取值范围.

查看答案和解析>>

科目:高中数学 来源:2015-2016学年甘肃省嘉峪关市高二上学期期中考试文科数学试卷(解析版) 题型:填空题

不等式的解集是______.

查看答案和解析>>

科目:高中数学 来源:2015-2016学年甘肃省嘉峪关市高二上学期期中考试理科数学试卷(解析版) 题型:选择题

设数列的前项和为,且满足,则的取值范围是( )

A. B. C. D.

查看答案和解析>>

科目:高中数学 来源:2016届浙江宁波效实中学高三上期中考试理科数学试卷(解析版) 题型:填空题

,则

查看答案和解析>>

科目:高中数学 来源:2016届山东省高三第二次诊断性考试文科数学试卷(解析版) 题型:选择题

已知,命题,则

A.是真命题:

B.是真命题:

C.是假命题:

D.是假命题:

查看答案和解析>>

科目:高中数学 来源:2016届河南省原名校高三上学期第一次联考理科数学试卷(解析版) 题型:选择题

中,若点满足,则( )

A. B.

C. D.

查看答案和解析>>

科目:高中数学 来源:2015-2016学年江苏省泰兴市高二上学期期中考试数学试卷(解析版) 题型:填空题

已知函数上的值域是

查看答案和解析>>

同步练习册答案