精英家教网 > 高中数学 > 题目详情

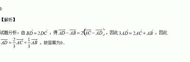
中,若点满足,则( )

A. B.

C. D.

练习册系列答案
相关习题

科目:高中数学 来源:2015-2016学年湖南省常德市高一上学期期中数学试卷(解析版) 题型:解答题

(共12分)已知幂函数的图像经过,函数为常数),函数

(1)分析函数的奇偶性;

(2)若在区间上递增,试求的取值范围.

查看答案和解析>>

科目:高中数学 来源:2016届浙江宁波效实中学高三上期中考试文科数学试卷(解析版) 题型:填空题

向量,①若,则

②若的夹角为,则

查看答案和解析>>

科目:高中数学 来源:2016届山东省高三第二次诊断性考试理科数学试卷(解析版) 题型:选择题

将函数的图象沿轴向左平移个单位后,得到一个偶函数的图象,则的最小值为

A. B. C. D.

查看答案和解析>>

科目:高中数学 来源:2016届河南省原名校高三上学期第一次联考文科数学试卷(解析版) 题型:选择题

已知函数,若,则实数等于( )

A. B. C. D.

查看答案和解析>>

科目:高中数学 来源:2015-2016学年四川绵阳南山中学高二上期中文科数学试卷(解析版) 题型:选择题

等比数列中,,且,则等于

A.3 B. C.4 D.

查看答案和解析>>

科目:高中数学 来源:2015-2016学年湖北省高二上期中文科数学试卷(解析版) 题型:填空题

已知为抛物线的焦点,抛物线的准线与双曲线的两条渐近线分别交于两点.若为直角三角形,则双曲线的离心率为__________.

查看答案和解析>>

科目:高中数学 来源:2015-2016学年陕西省高二上学期期中考试数学试卷(解析版) 题型:选择题

在△ABC 中, ,则A等于( )

A.60° B.45° C.120° D.30°

查看答案和解析>>

科目:高中数学 来源:2015-2016学年广东省英德市高二上学期第一次月考理科数学试卷(解析版) 题型:选择题

若a>b,ab≠0,则下列不等式恒成立的( )

A.< B.<1 C.2a>2b D.lg(b-a)<0

查看答案和解析>>

同步练习册答案