精英家教网 > 高中数学 > 题目详情

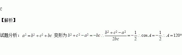
在△ABC 中, ,则A等于( )

A.60° B.45° C.120° D.30°

练习册系列答案
相关习题

科目:高中数学 来源:2015-2016学年甘肃省嘉峪关市高二上学期期中考试文科数学试卷(解析版) 题型:填空题

不等式的解集是______.

查看答案和解析>>

科目:高中数学 来源:2016届河南省原名校高三上学期第一次联考理科数学试卷(解析版) 题型:选择题

中,若点满足,则( )

A. B.

C. D.

查看答案和解析>>

科目:高中数学 来源:2015-2016学年广西桂林中学高二上期中考试文科数学试卷(解析版) 题型:解答题

(12分)如图,某小区拟在空地上建一个占地面积为平方米的矩形休闲广场,按照设计要求,休闲广场中间有两个完全相同的矩形绿化区域,周边及绿化区域之间是道路(图中阴影部分),道路的宽度均为米.怎样设计矩形休闲广场的长和宽,才能使绿化区域的总面积最大?并求出其最大面积.

查看答案和解析>>

科目:高中数学 来源:2015-2016学年福建省师大附高二上期中理科数学试卷(解析版) 题型:选择题

中,内角所对的边分别为,已知,为使此三角形有两个,则满足的条件是( )

A. B.

C. D.

查看答案和解析>>

科目:高中数学 来源:2015-2016学年辽宁省大连市高二10月月考数学试卷(解析版) 题型:解答题

某算法的程序框图如图所示,其中输入的变量个整数中等可能随机产生.分别求出按程序框图正确编程运行时输出的值为的概率;

查看答案和解析>>

科目:高中数学 来源:2015-2016学年江苏省泰兴市高二上学期期中考试数学试卷(解析版) 题型:填空题

已知函数上的值域是

查看答案和解析>>

科目:高中数学 来源:2015-2016学年辽宁省大连市高一上学期期中考试数学试卷(解析版) 题型:选择题

已知函数,若,则实数的值等于 ( )

A.-3 B.-1 C.1 D.3

查看答案和解析>>

科目:高中数学 来源:2015-2016学年浙江省平湖市高一10月月考数学试卷(解析版) 题型:填空题

已知集合,集合,且,则的范围是____.

查看答案和解析>>

同步练习册答案