精英家教网 > 高中数学 > 题目详情

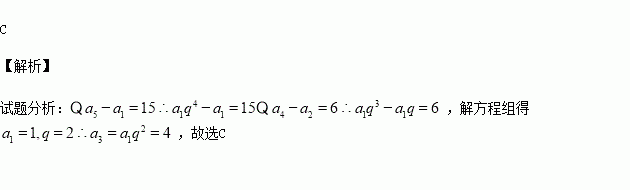
等比数列中,,且,则等于

A.3 B. C.4 D.

练习册系列答案
相关习题

科目:高中数学 来源:2015-2016学年湖南省常德市高一上学期期中数学试卷(解析版) 题型:选择题

若集合,则( )

A. B. C. D.

查看答案和解析>>

科目:高中数学 来源:2016届浙江宁波效实中学高三上期中考试理科数学试卷(解析版) 题型:填空题

,则

查看答案和解析>>

科目:高中数学 来源:2016届河南省原名校高三上学期第一次联考文科数学试卷(解析版) 题型:选择题

已知函数在其定义域内的一个子区间内不是单调函数,则实数的取值范围是( )

A. B.

C. D.

查看答案和解析>>

科目:高中数学 来源:2016届河南省原名校高三上学期第一次联考理科数学试卷(解析版) 题型:选择题

中,若点满足,则( )

A. B.

C. D.

查看答案和解析>>

科目:高中数学 来源:2015-2016学年四川绵阳南山中学高二上期中理科数学试卷(解析版) 题型:选择题

已知双曲线的离心率为,则双曲线的渐近线方程为 ( )

A、 B、

C、 D、

查看答案和解析>>

科目:高中数学 来源:2015-2016学年广西桂林中学高二上期中考试文科数学试卷(解析版) 题型:解答题

(12分)如图,某小区拟在空地上建一个占地面积为平方米的矩形休闲广场,按照设计要求,休闲广场中间有两个完全相同的矩形绿化区域,周边及绿化区域之间是道路(图中阴影部分),道路的宽度均为米.怎样设计矩形休闲广场的长和宽,才能使绿化区域的总面积最大?并求出其最大面积.

查看答案和解析>>

科目:高中数学 来源:2015-2016学年辽宁省大连市高二10月月考数学试卷(解析版) 题型:解答题

某算法的程序框图如图所示,其中输入的变量个整数中等可能随机产生.分别求出按程序框图正确编程运行时输出的值为的概率;

查看答案和解析>>

科目:高中数学 来源:2015-2016学年广东省普宁市高一上学期期中考试数学试卷(解析版) 题型:选择题

将函数的图象上所有点的横坐标伸长到原来的2倍(纵坐标不变),再将所得的图象向左平移个单位,得到的图象对应的解析式是( )

A. B.

C. D.

查看答案和解析>>

同步练习册答案