精英家教网 > 高中数学 > 题目详情

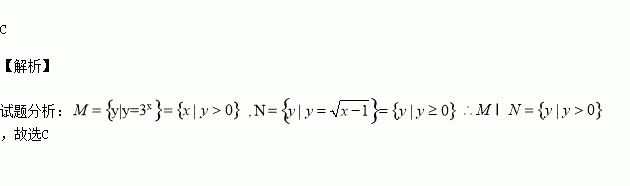
若集合,则( )

A. B. C. D.

练习册系列答案
相关习题

科目:高中数学 来源:2016届辽宁省葫芦岛市高三上学期期中文科数学试卷(解析版) 题型:填空题

满足约束条件,若目标函数的最大值为,则的图象向右平移后的表达式为___________.

查看答案和解析>>

科目:高中数学 来源:2015-2016学年江西南昌二中高二上学期期中文科数学试卷(解析版) 题型:选择题

如图,是双曲线的左、右焦点,过的直线与双曲线的左右两支分别交于点.若为等边三角形,则双曲线的离心率为

A.4 B. C. D.

查看答案和解析>>

科目:高中数学 来源:2015-2016学年吉林实验中学高二上学期期中文科数学试卷(解析版) 题型:选择题

已知圆的方程为.设该圆过点的最长弦和最短弦分别为,则四边形面积为

A. B. C. D.

查看答案和解析>>

科目:高中数学 来源:2015-2016学年湖南省常德市高一上学期期中数学试卷(解析版) 题型:解答题

(共12分)已知幂函数的图像经过,函数为常数),函数

(1)分析函数的奇偶性;

(2)若在区间上递增,试求的取值范围.

查看答案和解析>>

科目:高中数学 来源:2015-2016学年湖北省高一上学期期中数学试卷(解析版) 题型:选择题

下列函数中,与函数相同的函数是( )

A. B. C. D.

查看答案和解析>>

科目:高中数学 来源:2015-2016学年福建省高一上学期期中数学试卷(解析版) 题型:解答题

(本小题满分12分)

已知函数

(Ⅰ)若1是关于x的方程的一个解,求t的值;

(Ⅱ)当时,解不等式

(Ⅲ)若函数在区间上有零点,求t的取值范围.

查看答案和解析>>

科目:高中数学 来源:2015-2016学年甘肃省嘉峪关市高二上学期期中考试理科数学试卷(解析版) 题型:解答题

(本小题满分12分)已知不等式的解集为

(1)求

(2)解不等式

查看答案和解析>>

科目:高中数学 来源:2015-2016学年四川绵阳南山中学高二上期中文科数学试卷(解析版) 题型:选择题

等比数列中,,且,则等于

A.3 B. C.4 D.

查看答案和解析>>

同步练习册答案