精英家教网 > 高中数学 > 题目详情

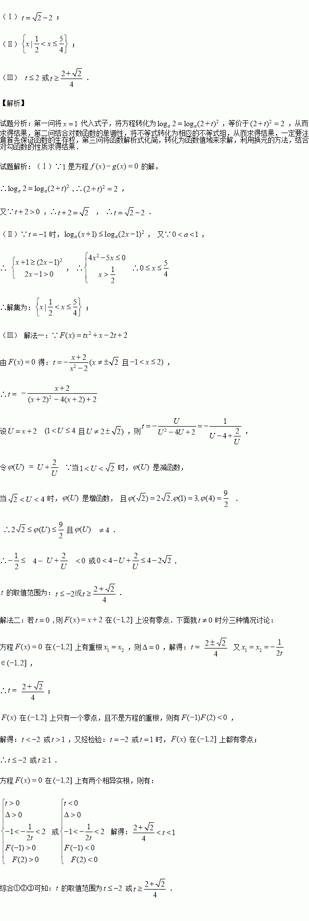
(本小题满分12分)

已知函数

(Ⅰ)若1是关于x的方程的一个解,求t的值;

(Ⅱ)当时,解不等式

(Ⅲ)若函数在区间上有零点,求t的取值范围.

练习册系列答案
相关习题

科目:高中数学 来源:2016届辽宁省抚顺市高三上学期第一次模拟文科数学试卷(解析版) 题型:选择题

将函数的图象向右平移个单位长度,所得图象对应的函数( )

A.在区间上单调递减

B.在区间上单调递增

C.在区间上单调递减

D.在区间上单调递增

查看答案和解析>>

科目:高中数学 来源:2015-2016学年吉林省高一上学期期中数学试卷(解析版) 题型:选择题

三个数的大小顺序是

(A)

(B)

(C)

(D)

查看答案和解析>>

科目:高中数学 来源:2015-2016学年湖南省常德市高一上学期期中数学试卷(解析版) 题型:选择题

若集合,则( )

A. B. C. D.

查看答案和解析>>

科目:高中数学 来源:2015-2016学年广东省佛山市高一上学期期中数学试卷(解析版) 题型:解答题

(本题满分12分)

(Ⅰ)若且对任意实数

(Ⅱ)在(Ⅰ)的条件下,当是单调函数,求实数 的取值范围.

查看答案和解析>>

科目:高中数学 来源:2015-2016学年福建省高一上学期期中数学试卷(解析版) 题型:选择题

如果,那么正确的结论是( )

A. B. C. D.

查看答案和解析>>

科目:高中数学 来源:2015-2016学年甘肃省嘉峪关市高二上学期期中考试文科数学试卷(解析版) 题型:填空题

不等式的解集是______.

查看答案和解析>>

科目:高中数学 来源:2016届浙江宁波效实中学高三上期中考试理科数学试卷(解析版) 题型:填空题

,则

查看答案和解析>>

科目:高中数学 来源:2015-2016学年广西桂林中学高二上期中考试文科数学试卷(解析版) 题型:解答题

(12分)如图,某小区拟在空地上建一个占地面积为平方米的矩形休闲广场,按照设计要求,休闲广场中间有两个完全相同的矩形绿化区域,周边及绿化区域之间是道路(图中阴影部分),道路的宽度均为米.怎样设计矩形休闲广场的长和宽,才能使绿化区域的总面积最大?并求出其最大面积.

查看答案和解析>>

同步练习册答案