精英家教网 > 高中数学 > 题目详情

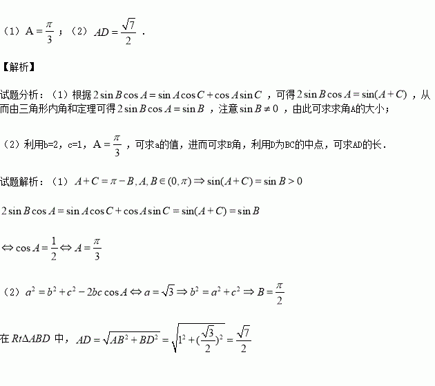
(本小题满分12分)设的内角所对的边为

(1)求角的大小;

(2)若的中点,求的长.

练习册系列答案
相关习题

科目:高中数学 来源:2015-2016学年辽宁省大连市高二上期中文科数学试卷(解析版) 题型:填空题

椭圆的焦点坐标为

查看答案和解析>>

科目:高中数学 来源:2015-2016学年河北省邢台市高二上第一次月考数学试卷(解析版) 题型:解答题

如图,在四棱锥中,底面为矩形,平面的中点.

(1)求证:平面;

(2)设求三棱锥的体积。

查看答案和解析>>

科目:高中数学 来源:2016届重庆市高三上学期第三次月考文科数学试卷(解析版) 题型:填空题

已知变量满足约束条件则目标函数的最大值是

查看答案和解析>>

科目:高中数学 来源:2016届重庆市高三上学期第三次月考理科数学试卷(解析版) 题型:填空题

已知向量,若,则

查看答案和解析>>

科目:高中数学 来源:2016届云南省玉溪市高三上学期期中理科数学试卷(解析版) 题型:解答题

选修4 - 4:坐标系与参数方程(本小题满分10分)

在极坐标系中,曲线有且仅有一个公共点.

(1)求

(2)为极点,为曲线上的两点,且,求的最大值.

查看答案和解析>>

科目:高中数学 来源:2016届辽宁省葫芦岛市高三上学期期中文科数学试卷(解析版) 题型:填空题

如果不等式和不等式有相同的解集,则实数的值分别为___________.

查看答案和解析>>

科目:高中数学 来源:2016届黑龙江省牡丹江市高三上学期期中文科数学试卷(解析版) 题型:填空题

如图,在中,,点D在线段AC上,且,则

查看答案和解析>>

科目:高中数学 来源:2015-2016学年吉林实验中学高二上学期期中文科数学试卷(解析版) 题型:选择题

椭圆的两个焦点为F1、F2,过F2的直线交椭圆于A、B两点,则△AB F1的周长为

A.10 B.20 C.40 D.50

查看答案和解析>>

同步练习册答案