精英家教网 > 高中数学 > 题目详情

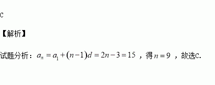
已知在等差数列中,,公差,则的值为( )

A. B. C. D.

练习册系列答案
相关习题

科目:高中数学 来源:2015-2016学年四川省实验学校高一上学期期中考试数学试卷(解析版) 题型:填空题

设函数f(x)=,则_________.

查看答案和解析>>

科目:高中数学 来源:2015-2016年北大附中河南分校高二宏志班上抽考文数学卷(解析版) 题型:选择题

已知点是抛物线上的一个动点,则点到点的距离与到该抛物线准线的距离之和的最小值为( )

A. B. C. D.

查看答案和解析>>

科目:高中数学 来源:2016届云南师范大附中高考适应性月考三文科数学试卷(解析版) 题型:选择题

下列有关命题的说法错误的是

A.若“”为假命题,则均为假命题

B.“”是“”的充分不必要条件

C.“”的必要不充分条件是“

D.若命题,则命题

查看答案和解析>>

科目:高中数学 来源:2016届云南师范大附中高考适应性月考三理科数学试卷(解析版) 题型:选择题

在等比数列中,,则

A. B. C. D.

查看答案和解析>>

科目:高中数学 来源:2016届山西省高三上期中理科数学试卷(解析版) 题型:选择题

已知在等差数列中,,公差,则的值为( )

A. B. C. D.

查看答案和解析>>

科目:高中数学 来源:2016届内蒙古赤峰二中高三上12月月考文科数学试卷(解析版) 题型:解答题

如图,⊙的半径为 6,线段与⊙相交于点与⊙相交于点

(1) 求长;

(2)当时,求证:

查看答案和解析>>

科目:高中数学 来源:2016届安徽省高三上第五次月考理科数学试卷(解析版) 题型:选择题

已知直线平行,则k的值是( )

A.1或3 B.1或5 C.3或5 D.1或2

查看答案和解析>>

科目:高中数学 来源:2016届河北省高三上学期期中考试理科数学试卷(解析版) 题型:选择题

已知是定义在R上的偶函数,其导函数为,若,且,则不等式的解集为( )

A. B. C. D.

查看答案和解析>>

同步练习册答案