精英家教网 > 高中数学 > 题目详情

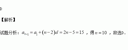
已知在等差数列中,,公差,则的值为( )

A. B. C. D.

练习册系列答案
相关习题

科目:高中数学 来源:2015-2016学年贵州省高二上滾动训练4数学试卷(解析版) 题型:解答题

已知函数的图象过点且点)在函数的图象上.

(1)求数列{}的通项公式;

(2)令若数列{}的前n项和为求证:

查看答案和解析>>

科目:高中数学 来源:2015-2016学年安徽省蚌埠市高二上期中文科数学试卷(解析版) 题型:选择题

若一个圆锥的侧面展开图是面积为的半圆面,则该圆锥的体积为( )

A. B. C. D.

查看答案和解析>>

科目:高中数学 来源:2016届云南师范大附中高考适应性月考三理科数学试卷(解析版) 题型:选择题

抛物线的焦点为,点为该抛物线上的动点,又已知点,则的取值范围是

A. B. C. D.

查看答案和解析>>

科目:高中数学 来源:2016届山西省高三上期中文科数学试卷(解析版) 题型:选择题

已知在等差数列中,,公差,则的值为( )

A. B. C. D.

查看答案和解析>>

科目:高中数学 来源:2016届山东省高三12月月考理科数学试卷(解析版) 题型:选择题

已知直线⊥平面,直线平面,下面有三个命题:

;②;③; 则真命题的个数为( )

A. B. C. D.

查看答案和解析>>

科目:高中数学 来源:2016届内蒙古赤峰二中高三上12月月考文科数学试卷(解析版) 题型:选择题

复数(i为虚数单位)的共轭复数为( )

A. B. C. D.

查看答案和解析>>

科目:高中数学 来源:2015-2016学年湖南株洲二中高二上第三次月考文数学卷(解析版) 题型:填空题

中,,则

查看答案和解析>>

科目:高中数学 来源:2016届河北省高三上学期期中考试理科数学试卷(解析版) 题型:选择题

复数在复平面内对应的点在第三象限是a≥0的( )

A.充分不必要条件

B.必要不充分条件

C.充要条件

D.既不充分也不必要条件

查看答案和解析>>

同步练习册答案