精英家教网 > 高中数学 > 题目详情

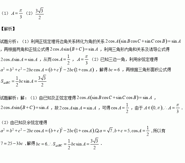
的内角的对边分别为,已知.

(1)求角;

(2)若,求的面积.

练习册系列答案
相关习题

科目:高中数学 来源:2017届广东海珠区高三上学期调研测试一数学文试卷(解析版) 题型:解答题

选修4-5:不等式选讲

已知函数.

(1)解不等式

(2)若存在实数,使得,求实数的取值范围.

查看答案和解析>>

科目:高中数学 来源:2015-2016内蒙古高一下期末数学试卷(解析版) 题型:选择题

若(a+b+c)(b+c-a)=3bc,且sinA=2sinBcosC,那么是( )

A.直角三角形 B.等边三角形

C.等腰三角形 D.等腰直角三角形

查看答案和解析>>

科目:高中数学 来源:2017届山东肥城市高三上学期升级统测数学(文)试卷(解析版) 题型:选择题

若非零向量满足,且,则的夹角为( )

A. B. C. D.

查看答案和解析>>

科目:高中数学 来源:2017届山东肥城市高三上学期升级统测数学(理)试卷(解析版) 题型:解答题

已知函数,令,其中是函数的导函数.

(1)当时,求的极值;

(2)当时,若存在,使得恒成立,求的取值范围.

查看答案和解析>>

科目:高中数学 来源:2017届山东肥城市高三上学期升级统测数学(理)试卷(解析版) 题型:填空题

执行如图所示的程序框图,若输入的值为,则输出的值是

查看答案和解析>>

科目:高中数学 来源:2017届山东肥城市高三上学期升级统测数学(理)试卷(解析版) 题型:选择题

在平面直角坐标系中,为不等式组所表示的区域上一动点,已知点,则直线斜率的最小值为( )

A. B. C. D.

查看答案和解析>>

科目:高中数学 来源:2015-2016山西省高二下期末考试理科数学卷(解析版) 题型:选择题

已知是定义在R上的减函数,其导函数满足,则下列结论正确的是( )

A. 当时,>0; 当时,

B. 当时,; 当时,

C. 对于任意R,>0

D. 对于任意R,<0

查看答案和解析>>

科目:高中数学 来源:2017届宁夏高三上学期月考一数学(文)试卷(解析版) 题型:填空题

函数的值域是 .

查看答案和解析>>

同步练习册答案