精英家教网 > 高中数学 > 题目详情

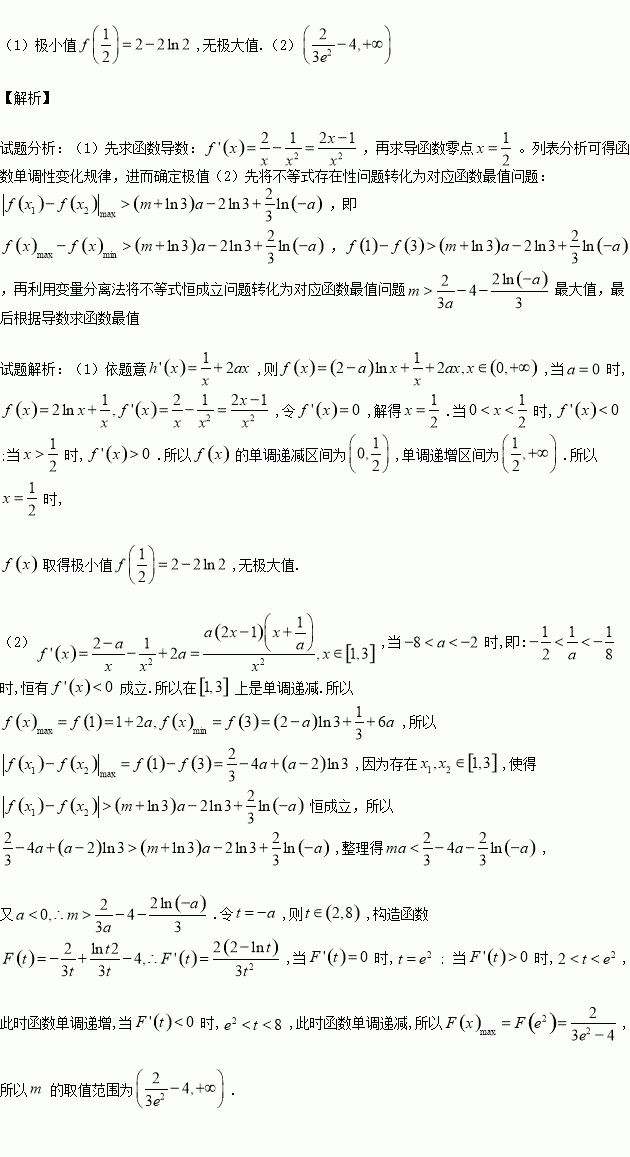
已知函数,令,其中是函数的导函数.

(1)当时,求的极值;

(2)当时,若存在,使得恒成立,求的取值范围.

练习册系列答案
相关习题

科目:高中数学 来源:2017届河南濮阳第一高级中学高三上学期检测二数学(理)试卷(解析版) 题型:选择题

已知函数的导函数是,且,则实数的值为( )

A. B. C. D.1

查看答案和解析>>

科目:高中数学 来源:2015-2016内蒙古高一下期末数学试卷(解析版) 题型:选择题

若直线(a>0,b>0)过点(1,1),则a+b的最小值等于( )

A.2 B.3 C.4 D.5

查看答案和解析>>

科目:高中数学 来源:2017届山东肥城市高三上学期升级统测数学(文)试卷(解析版) 题型:填空题

观察下列等式

………照此规律,第等式为

查看答案和解析>>

科目:高中数学 来源:2017届山东肥城市高三上学期升级统测数学(文)试卷(解析版) 题型:选择题

已知是实数,则“”是“直线与圆”相切的( )

A.充要条件 B.充分不必要条件

C.必要不充分条件 D.即不充分也不必要条件

查看答案和解析>>

科目:高中数学 来源:2017届山东肥城市高三上学期升级统测数学(理)试卷(解析版) 题型:解答题

的内角的对边分别为,已知.

(1)求角;

(2)若,求的面积.

查看答案和解析>>

科目:高中数学 来源:2017届山东肥城市高三上学期升级统测数学(理)试卷(解析版) 题型:选择题

定义在上的函数满足在区间上,,其中,若,则( )

A. B. C. D.

查看答案和解析>>

科目:高中数学 来源:2015-2016山西省高二下期末考试理科数学卷(解析版) 题型:解答题

已知函数(其中为常数,且)的部分图象如图所示

(1)求函数的解析式;

(2)若的值.

查看答案和解析>>

科目:高中数学 来源:2017届宁夏高三上学期月考一数学(文)试卷(解析版) 题型:解答题

在长方体中,,过三点的平面截去长方体的一个角后,得如图所示的几何体,且这个几何体的体积为.

(1)求棱的长;

(2)若的中点为 ,求异面直线所成角的余弦值.

查看答案和解析>>

同步练习册答案