精英家教网 > 高中数学 > 题目详情

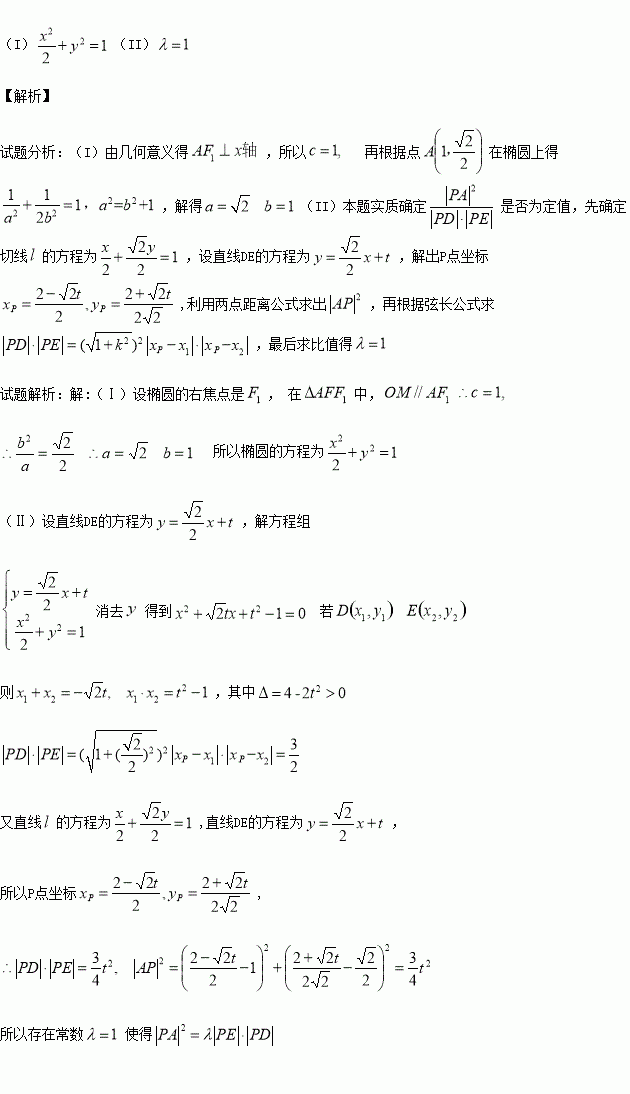
已知椭圆C:的左焦点为F,为椭圆上一点,AF交y轴于点M,且M为AF的中点.

(I)求椭圆C的方程;

(II)直线与椭圆C有且只有一个公共点A,平行于OA的直线交于P,交椭圆C于不同的两点D,E,问是否存在常数,使得,若存在,求出的值,若不存在,请说明理由.

练习册系列答案
相关习题

科目:高中数学 来源:2015-2016学年湖南省高二下学业水平模拟数学试卷(1)(解析版) 题型:解答题

已知曲线C:x2+y2+2x+4y+m=0.

(1)当m为何值时,曲线C表示圆?

(2)若直线l:y=x﹣m与圆C相切,求m的值.

查看答案和解析>>

科目:高中数学 来源:2015-2016学年安徽省高二下学业水平模拟数学试卷(解析版) 题型:选择题

已知全集U={1,2,3,4,5},集合A={1,3,5},则∁UA=( )

A.{2,4} B.{1,3,5} C.{1,2,3,4,5} D.∅

查看答案和解析>>

科目:高中数学 来源:2017届山西长治二中等五校高三上学期联考一数学(文)试卷(解析版) 题型:选择题

已知函数R)图象的一条对称轴是,则函数的最大值为( )

A.5 B.3 C. D.

查看答案和解析>>

科目:高中数学 来源:2017届山西长治二中等五校高三上学期联考一数学(文)试卷(解析版) 题型:选择题

已知全集为R,集合,则=( )

A. B. C. D.

查看答案和解析>>

科目:高中数学 来源:2017届山西长治二中等五校高三上学期联考一数学(理)试卷(解析版) 题型:填空题

已知满足约束条件,若恒成立,则实数的取值范围为 .

查看答案和解析>>

科目:高中数学 来源:2017届山西长治二中等五校高三上学期联考一数学(理)试卷(解析版) 题型:选择题

向量满足,且,则的夹角的余弦值为( )

A.0 B. C. D.

查看答案和解析>>

科目:高中数学 来源:2017届湖南长沙长郡中学高三摸底测试数学(理)试卷(解析版) 题型:填空题

已知的中线,,则的最小值是 .

查看答案和解析>>

科目:高中数学 来源:2015-2016学年贵州思南中学高二下学期期末数学文试卷(解析版) 题型:解答题

已知函数

(1)当时,求在区间上的最大值和最小值;

(2)若对恒成立,求的取值范围.

查看答案和解析>>

同步练习册答案