精英家教网 > 高中数学 > 题目详情

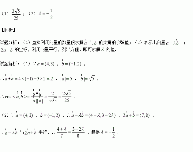
已知向量.

(1)求的夹角的余弦值;

(2)若向量平行,求的值.

练习册系列答案
相关习题

科目:高中数学 来源:2017届江西南昌市高三上学期摸底调研数学(文)试卷(解析版) 题型:解答题

已知函数.

(1)当时,求函数的单调区间;

(2)若有两个不相等的实数根,求证:.

查看答案和解析>>

科目:高中数学 来源:2017届江西南昌市高三上学期摸底调研数学(理)试卷(解析版) 题型:选择题

执行如图所示的程序框图,则输出的值为( )

A. 5 B. 6 C. 7 D. 8

查看答案和解析>>

科目:高中数学 来源:2017届广西陆川县中学高三8月月考数学(文)试卷(解析版) 题型:选择题

已知函数上单调递增,则( )

A. B.

C. D.

查看答案和解析>>

科目:高中数学 来源:2017届广西陆川县中学高三8月月考数学(文)试卷(解析版) 题型:选择题

已知是虚数单位),则复数( )

A. B. C. D.

查看答案和解析>>

科目:高中数学 来源:2017届广西陆川县中学高三8月月考数学(理)试卷(解析版) 题型:选择题

设函数的导函数为,且,则下列不等式

成立的是( )

A. B.

C. D.

查看答案和解析>>

科目:高中数学 来源:2017届广西陆川县中学高三8月月考数学(理)试卷(解析版) 题型:选择题

已知命题,命题,若为假命题,则实数的取值范围是( )

A. B. C. D.

查看答案和解析>>

科目:高中数学 来源:2017届广东海珠区高三上学期调研测试一数学理试卷(解析版) 题型:选择题

过抛物线的焦点且倾斜角为的直线与抛物线在第一、四象限分别交于两点,则的值等于( )

A.5 B.4 C.3 D.2

查看答案和解析>>

科目:高中数学 来源:2017届广东海珠区高三上学期调研测试一数学文试卷(解析版) 题型:解答题

已知三棱柱的侧棱垂直于底面,所有棱长都相等,若该三棱柱的顶点都在球的表面上,且三棱柱的体积为,则球的表面积为________.

查看答案和解析>>

同步练习册答案