精英家教网 > 高中数学 > 题目详情
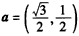
已知向量a=(cosx,sinx),b=(-cosx,cosx),c=(-1,0),
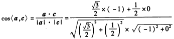
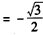
(1)若x=,求向量ac的夹角;
(2)当x∈时,求函数f(x)=2a·b+1的最大值;
(3)设f(x)=2a·b+1,将函数y=f(x)的图象向右平移个单位后,再将得到的图象上各点的横坐标伸长到原来的4倍,纵坐标不变,得到函数y=g(x)的图象,求y=g(x)的单调递减区间.
解:(1)当x=时,



(2)


,故
∴当,即时,
(3)
练习册系列答案
相关习题

科目:高中数学 来源: 题型:

已知向量
a
=(-cosα,1+sinα)
b
=(2sin2
α
2
,sinα)

(Ⅰ)若|
a
+
b
|=
3
,求sin2α的值;
(Ⅱ)设
c
=(cosα,2)
,求(
a
+
c
)•
b
的取值范围.

查看答案和解析>>

科目:高中数学 来源: 题型:

已知向量
a
=(cosωx-sinωx,sinωx)
b
=(-cosωx-sinωx,2
3
cosωx)
,其中ω>0,且函数f(x)=
a
b
(λ为常数)的最小正周期为π.
(Ⅰ)求函数y=f(x)的图象的对称轴;
(Ⅱ)若函数y=f(x)的图象经过点(
π
4
,0)
,求函数y=f(x)在区间[0,
12
]
上的取值范围.

查看答案和解析>>

科目:高中数学 来源: 题型:

已知向量
a
=(cos
θ
2
,sin
θ
2
)
b
=(2,1)
,且
a
b

(1)求tanθ的值;
(2 )求
cos2θ
2
cos(
π
4
+θ)•sinθ
的值.

查看答案和解析>>

科目:高中数学 来源: 题型:

已知向量
a
=(cos(ωx-
π
6
),  sin(ωx-
π
4
)),  
b
=(sin(
2
3
π-ωx), sin(ωx+
π
4
))
(其中ω>0).若函数f(x)=2
a
b
-1
的图象相邻对称轴间距离为
π
2

(Ⅰ)求ω的值;
(Ⅱ)求f(x)在[-
π
12
,  
π
2
]
上的值域.

查看答案和解析>>

科目:高中数学 来源: 题型:

已知向量
a
=(cosθ,sinθ),
b=
(cos2θ-1,sin2θ),
c
=(cos2θ,sin2θ-
3
)
.其中θ≠kπ,k∈Z.
(1)求证:
a
b

(2)设f(θ)=
a
c
,且θ∈(0,π),求f(θ)
的值域.

查看答案和解析>>

同步练习册答案