精英家教网 > 高中数学 > 题目详情

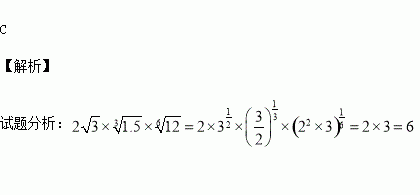
计算的值为( )

A. B. C.6 D.

练习册系列答案
相关习题

科目:高中数学 来源:2015-2016学年湖北省高二上期中文科数学试卷(解析版) 题型:解答题

(本小题满分13分)已知△的两个顶点的坐标分别是,且所在直线的斜率之积等于

(1)求顶点的轨迹的方程,并判断轨迹为何种曲线;

(2)当时,点为曲线 C上点, 且点为第一象限点,过点作两条直线与曲线C交于两点,直线斜率互为相反数,则直线EF斜率是否为定值,若是,求出定值,若不是,请说明理由.

查看答案和解析>>

科目:高中数学 来源:2015-2016学年湖北省高二上学期期中理科数学试卷(解析版) 题型:选择题

设点是函数图象上的任意一点,点是直线上的任意一点,则的最小值为( )

A. B. C. D.以上答案都不对

查看答案和解析>>

科目:高中数学 来源:2015-2016学年广东省英德市高二上学期第一次月考理科数学试卷(解析版) 题型:选择题

已知命题:“若,则”则原命题、逆命题、否命题、逆否命题这四个命题中,真命题的个数是( )

A .0 B.1 C.2 D.4

查看答案和解析>>

科目:高中数学 来源:2015-2016学年甘肃省定西市高一上学期第一次月考数学试卷(解析版) 题型:解答题

(12分)已知函数是定义在(-1, 1)上的奇函数,且

(1)确定函数的解析式;

(2)用定义法判断函数的单调性;

(3)解不等式;

查看答案和解析>>

科目:高中数学 来源:2014-2015学年浙江省等三校高二上学期期中考试数学试卷(解析版) 题型:填空题

在△ABC中,BC=1,B=,当△ABC的面积等于时,AB=________.

查看答案和解析>>

科目:高中数学 来源:2016届浙江省高三10月月考文科数学试卷(解析版) 题型:解答题

(本小题满分15分)如图,已知正方形和矩形所在的平面互相垂直,为线段的中点。

(Ⅰ)求证:∥平面

(Ⅱ)求二面角的平面角的大小.

查看答案和解析>>

科目:高中数学 来源:2015-2016学年四川成都市六校高一上学期期中联考数学试卷(解析版) 题型:选择题

已知符号函数,若函数在R上单调递增,,则( )

A.

B.

C.

D.

查看答案和解析>>

科目:高中数学 来源:2015-2016学年广西武鸣县高中高二上段考文科数学试卷(解析版) 题型:选择题

正方体 中棱长为,则面与底面所成的角余弦值为( ) A. B. C. D.

查看答案和解析>>

同步练习册答案