精英家教网 > 高中数学 > 题目详情
为了解学生身高情况,某校以10%的比例对全校700名学生按性别进行分层抽样调查,测得身高情况的统计图如下:
(Ⅰ)估计该校男生的人数;
(Ⅱ)估计该校学生身高在170~185 cm之间的概率;
(Ⅲ)从样本中身高在180~190 cm之间的男生中任选2人,求至少有1人身高在185~190 cm之间的概率.
解:(Ⅰ)样本中男生人数为40,
由分层抽样比例为10%估计全校男生人数为400.
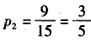
(Ⅱ)由统计图知,样本中身高在170~185 cm之间的学生有14+13+4+3+1=35人,
样本容量为70,所以样本中学生身高在170~185cm之间的频率
故由,估计该校学生身高在170~185 cm之间的概率P1=0.5.
(Ⅲ)样本中身高在180~185 cm之间的男生有4人,设其编号为①,②,③,④,
样本中身高在185~190 cm之间的男生有2人,设其编号为⑤,⑥,
从上述6人中任取2人的树状图为:

故从样本中身高在180~190 cm之间的男生中任选2人的所有可能结果数为15,
至少有1人身高在185~190 cm之间的可能结果数为9,
因此,所求概率
练习册系列答案
相关习题

科目:高中数学 来源: 题型:

为了解学生身高情况,某校以10%的比例对全校700名学生按性别进行出样检查,测得身高情况的统计图如下:
精英家教网

(Ⅰ)估计该校男生的人数;
(Ⅱ)估计该校学生身高在170~185cm之间的概率;
(Ⅲ)从样本中身高在180~190cm之间的男生中任选2人,求至少有1人身高在185~190cm之间的概率.

查看答案和解析>>

科目:高中数学 来源: 题型:

为了解学生身高情况,某校以10%的比例对全校700名学生按性别进行出样检查,测得身高情况的统计图如下:

(1)估计该校男生的人数;
(2)估计该校学生身高在170~185cm之间的概率;
(3)从样本中身高在165~180cm之间的女生中任选2人,求至少有1人身高在170~180cm之间的概率.

查看答案和解析>>

科目:高中数学 来源: 题型:

为了解学生身高情况,某校以10%的比例对全校700名学生按性别进行分层抽样检查,测得身高情况的统计图如下:

(Ⅰ)估计该校男生的人数;
(Ⅱ)估计该校学生身高在170~185cm之间的概率.

查看答案和解析>>

科目:高中数学 来源:2012-2013学年河南省邓州一高分校高三上学期第四次周考文科数学试卷(解析版) 题型:解答题

为了解学生身高情况,某校以10%的比例对全校700名学生按性别进行分层抽样调查,测得身高情况的统计图如下:

(1)估计该校男生的人数;

(2)估计该校学生身高在170185cm之间的概率;

 

查看答案和解析>>

科目:高中数学 来源:2012年人教A版高中数学必修三2.2用样本估计总体练习卷(一)(解析版) 题型:解答题

(2010年高考陕西卷改编)为了解学生身高情况,某校以10%的比例对全校700名学生按性别进行分层抽样调查,测得身高情况的统计图如下:

(1)估计该校男生的人数;

(2)估计该校学生身高在170~185 cm之间的概率.

 

查看答案和解析>>

同步练习册答案