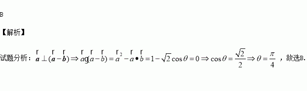
精英家教网 > 高中数学 > 题目详情

已知 ,且,则向量与向量的夹角为( )

A. B. C. D.

练习册系列答案
相关习题

科目:高中数学 来源:2016-2017学年河北枣强中学高二上学期月考二数学试卷(解析版) 题型:解答题

已知某单位有50名职工,现要从中抽取10名职工,将全体职工随机按编号,并按编号顺序平均分成10组,按各组内抽取的编号依次增加5进行系统抽样.

(1)若第5组抽出的号码为22,写出所有被抽出职工的号码;

(2)分别统计这10名职工的体重(单位:公斤),获得体重数据的茎叶图如图所示,求该样本的方差;

(3)在(2)的条件下,从体重不轻于73公斤(公斤)的职工中随机抽取两名,求体重为76公斤的职工被抽取到的概率.

查看答案和解析>>

科目:高中数学 来源:2016届江苏省高三12月月考数学试卷(解析版) 题型:填空题

等比数列的首项,前项的和为,若,则_________.

查看答案和解析>>

科目:高中数学 来源:2016届青海西宁五中四中十四中高三下学期联考数学(理)试卷(解析版) 题型:填空题

,则展开式的常数项为______.

查看答案和解析>>

科目:高中数学 来源:2016届青海西宁五中四中十四中高三下学期联考数学(理)试卷(解析版) 题型:选择题

已知函数,若函数在R上有两个零点,则的取值范围是( )

A. B. C. D.

查看答案和解析>>

科目:高中数学 来源:2015-2016学年广东茂名十七中高二下学期期末数学(理)试卷(解析版) 题型:解答题

某班从6名班干部中(其中男生4人,女生2人),任选3人参加学校的义务劳动.

(1)设所选3人中女生人数为ξ,求ξ的分布列;

(2)求男生甲或女生乙被选中的概率.

查看答案和解析>>

科目:高中数学 来源:2015-2016学年广东茂名十七中高二下学期期末数学(理)试卷(解析版) 题型:填空题

已知,则 _________

查看答案和解析>>

科目:高中数学 来源:2017届河北省五个一推荐高三上学期一模数学(文)试卷(解析版) 题型:解答题

如图,已知抛物线,过焦点斜率大于零的直线交抛物线于两点,且与其准线交于点

(Ⅰ)若线段的长为,求直线的方程;

(Ⅱ)在上是否存在点,使得对任意直线,直线的斜率始终成等差数列,若存在求点的坐标;若不存在,请说明理由.

查看答案和解析>>

科目:高中数学 来源:2016届河南六市高三第二次联考数学(文)试卷(解析版) 题型:选择题

下列函数中既是奇函数又在区间[-1,1]上单调递减的是( )

A. B. C. D.

查看答案和解析>>

同步练习册答案