精英家教网 > 高中数学 > 题目详情

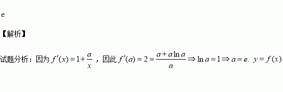
已知函数,若曲线在点处的切线过原点,则实数 的值为

练习册系列答案
相关习题

科目:高中数学 来源:2015-2016学年江西省抚州市高一上学期期末质量检测数学试卷(解析版) 题型:选择题

已知偶函数满足,且当 时,,其图像与直线轴右侧的交点按横坐标从小到大依次记为 ,则等于( )

A.2 B.4 C.8 D.16

查看答案和解析>>

科目:高中数学 来源:2015-2016学年山东省菏泽市高一上学期期末考试数学试卷(解析版) 题型:填空题

指数函数的图象如图所示,则二次函数的 顶点的横坐标的取值范围是

查看答案和解析>>

科目:高中数学 来源:2016届江苏省淮安市高三5月信息卷(最后一模)考试数学试卷(解析版) 题型:解答题

已知函数,直线为曲线的切线.为自然对数的底数.

(1)求实数的值;

(2)用表示中的最小值,设函数,若函数为增函数,求实数的取值范围.

查看答案和解析>>

科目:高中数学 来源:2016届江苏省淮安市高三5月信息卷(最后一模)考试数学试卷(解析版) 题型:填空题

在区间上存在,使得不等式成立,则实数的取值范围是

查看答案和解析>>

科目:高中数学 来源:2016届江苏省淮安市高三5月信息卷(最后一模)考试数学试卷(解析版) 题型:填空题

函数的定义域为

查看答案和解析>>

科目:高中数学 来源:2015-2016学年河北省高二下学期第一次月考理科数学试卷(解析版) 题型:解答题

2012年中华人民共和国环境保护部批准《环境空气质量标准》为国家环境质量标准,该标准增设和调整了颗粒物、二氧化氮、铅、笨等的浓度限值,并从2016年1月1日起在全国实施.空气质量的好坏由空气质量指数确定,空气质量指数越高,代表空气污染越严重,某市对市辖的某两个区加大了对空气质量的治理力度,从2015年11月1日起监测了100天的空气质量指数,并按照空气质量指数划分为:指标小于或等于为通过,并引进项目投资.大于为未通过,并进行治理.现统计如下.

空气质量指数

空气质量类别

轻度污染

中度污染

重度污染

严重污染

甲区天数

13

20

42

20[来源

3

2

乙区天数

8

32

40[来源

16

2

2

(Ⅰ)以频率值作为概率值,求甲区和乙区通过监测的概率;

(Ⅱ)对于甲区,若通过,引进项目可增加税收40(百万元),若没通过监测,则治理花费5(百万元);对于乙,若通过,引进项目可增加税收50(百万元),若没通过监测,则治理花费10(百万元).在(Ⅰ)的前提下,记为通过监测,引进项目增加的税收总额,求随机变量的分布列和数学期望;

查看答案和解析>>

科目:高中数学 来源:2015-2016学年河北省高二下学期第一次月考理科数学试卷(解析版) 题型:选择题

下列事件中,不是随机事件的是( )

A.东边日出西边雨 B.下雪不冷化雪冷 C.清明时节雨纷纷 D.梅子黄时日日晴

查看答案和解析>>

科目:高中数学 来源:2016届宁夏六盘山高中高三第三次模拟考试文科数学试卷(解析版) 题型:选择题

已知是非零向量,则“命题”是“命题向量与向量共线”的( )

A.充分不必要条件 B.必要不充分条件

C.充要条件 D.既不充分也不必要条件

查看答案和解析>>

同步练习册答案