精英家教网 > 高中数学 > 题目详情

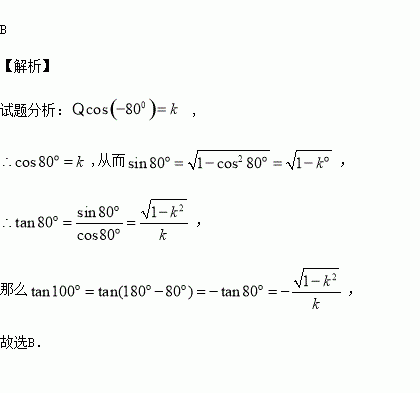
,那么( )

A. B. C. D.

练习册系列答案
相关习题

科目:高中数学 来源:2015-2016学年河北冀州中学高一下期末文科数学试卷(解析版) 题型:解答题

若在定义域内存在实数,使得成立,则称函数有“飘移点”

(1)函数上是否有“飘移点”?请说明理由;

(2)若函数上有“飘移点”,求实数的取值范围.

查看答案和解析>>

科目:高中数学 来源:2016届贵州省招生模拟文科数学试卷(解析版) 题型:选择题

阅读如图所示的程序框图,若输出的结果是63,则判断框内的值可为( )

A.5 B.6 C.7 D.8

查看答案和解析>>

科目:高中数学 来源:2015-2016学年山东省高一下期中数学试卷(解析版) 题型:填空题

已知点,若向量与向量同向,且,则点的坐标为__________.

查看答案和解析>>

科目:高中数学 来源:2015-2016学年山东省高一下期中数学试卷(解析版) 题型:选择题

,且,则( )

A. B. C. D.

查看答案和解析>>

科目:高中数学 来源:2015-2016学年山西省高二3月月考理科数学试卷(解析版) 题型:解答题

已知在中,角的对边分别为,且

(1)求角的大小;

(2)若的面积,求的值.

查看答案和解析>>

科目:高中数学 来源:2015-2016学年山西省高二3月月考理科数学试卷(解析版) 题型:选择题

定义在上的函数,是它的导函数,且恒有成立.则( )

A. B.

C. D.

查看答案和解析>>

科目:高中数学 来源:2015-2016学年山西大学附中高一下学期3月模块诊断数学试卷(解析版) 题型:填空题

设函数的图象为,给出下列命题:

①图象关于直线对称; ②函数在区间内是增函数;③函数是奇函数;④图象关于点对称.⑤的最小正周期为.

其中正确命题的编号是 .(写出所有正确命题的编号)

查看答案和解析>>

科目:高中数学 来源:2015-2016学年内蒙古高二下第一次月考文科数学卷(解析版) 题型:解答题

某车间为了规定工时定额,需要确定加工零件所花费的时间,为此作了四次试验,得到的数据如下:

零件的个数x(个)

2

3

4

5

加工的时间y(小时)

2.5

3

4

4.5

(1)在给定的坐标系中画出表中数据的散点图;

(2)求出y关于x的线性回归方程=bx+a,

(3)试预测加工20个零件需要多少小时?

查看答案和解析>>

同步练习册答案