精英家教网 > 高中数学 > 题目详情

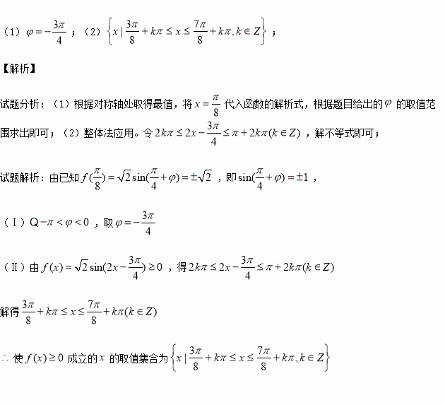
已知关于的函数的一条对称轴是

(Ⅰ)求的值;

(Ⅱ)求使成立的的取值集合.

练习册系列答案
相关习题

科目:高中数学 来源:2016届宁夏六盘山高中高三上学期第二次月考理科数学试卷(解析版) 题型:填空题

,则实数=__________.

查看答案和解析>>

科目:高中数学 来源:2015-2016学年浙江省高一上学期期中数学试卷(解析版) 题型:选择题

已知是定义在上的奇函数,当时,,则不等式的解集为( ).

A.

B.

C.

D.

查看答案和解析>>

科目:高中数学 来源:2015-2016学年湖南衡阳八中高二上第二次月考文科数学卷(解析版) 题型:选择题

某小组有3名男生和2名女生,从中任选2名同学去参加演讲比赛,事件“至少1名女生”与事件“全是男生”( )

A.是互斥事件,不是对立事件

B.是对立事件,不是互斥事件

C.既是互斥事件,也是对立事件

D.既不是互斥事件也不是对立事件

查看答案和解析>>

科目:高中数学 来源:2014-2015学年贵州省高二上学期半期考试文科数学试卷(解析版) 题型:解答题

为了对某课题进行研究,用分层抽样方法从三所高校A,B,C的相关人员中,抽取若干人组成研究小组、有关数据见下表(单位:人)

(1)求;

(2)若从高校B、C抽取的人中选2人作专题发言,求这二人都来自高校C的概率.

查看答案和解析>>

科目:高中数学 来源:2016届四川省成都市高三11月阶段测试文科数学试卷(解析版) 题型:解答题

已知函数的图象在点处的切线方程为

(1)用表示

(2)若函数上的最大值为2,求实数a的取值范围.

查看答案和解析>>

科目:高中数学 来源:2016届四川省成都市高三11月阶段测试理科数学试卷(解析版) 题型:选择题

设直角的三个顶点都在单位圆上,点M,则的最大值是( )

A. B. C. D.

查看答案和解析>>

科目:高中数学 来源:2016届甘肃省高三12月月考文科数学试卷(解析版) 题型:选择题

已知命题p:?x∈R,(m+1)(x2+1)≤0,命题q:?x∈R,x2+mx+1>0恒成立.

若p∧q为假命题,则实数m的取值范围为( )

A.m≥2 B.m≤-2或m>-1

C.m≤-2或m≥2 D.-1<m≤2

查看答案和解析>>

科目:高中数学 来源:2015-2016学年山东省济宁市兖州区高一上学期期中考试数学试卷(解析版) 题型:选择题

是定义在上的偶函数,且,则下列各式一定成立的是 ( )

A. B.

C. D.

查看答案和解析>>

同步练习册答案