精英家教网 > 高中数学 > 题目详情

练习册系列答案
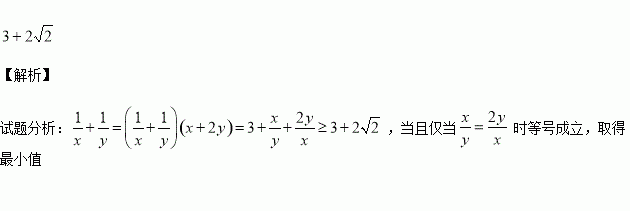
相关习题

科目:高中数学 来源:2015-2016学年甘肃省嘉峪关市高二上学期期中考试理科数学试卷(解析版) 题型:解答题

(本小题满分12分)已知等比数列中,

(1)求数列的通项公式;

(2)若分别为等差数列的第3项和第5项,试求数列的通项公式及前项和

查看答案和解析>>

科目:高中数学 来源:2015-2016学年四川绵阳南山中学高二上期中文科数学试卷(解析版) 题型:选择题

已知直线的方程为,则直线的倾斜角为

A. B.

C. D.

查看答案和解析>>

科目:高中数学 来源:2015-2016学年广西桂林中学高二上期中考试文科数学试卷(解析版) 题型:解答题

(10分)设一元二次不等式的解集为

(Ⅰ)当时,求

(Ⅱ)当时,求的取值范围.

查看答案和解析>>

科目:高中数学 来源:2015-2016学年福建省师大附高二上期中理科数学试卷(解析版) 题型:选择题

已知实数满足不等式组,若目标函数取得最大值时的唯一最优解是(1,3),则实数的取值范围为( )

A. B. C. D.

查看答案和解析>>

科目:高中数学 来源:2015-2016学年陕西省高二上学期期中考试数学试卷(解析版) 题型:选择题

若1+2+22+……+2n>100,n?N*,则n的最小值为( )

A.6 B.7 C.8 D.9

查看答案和解析>>

科目:高中数学 来源:2015-2016学年辽宁省大连市高二10月月考数学试卷(解析版) 题型:解答题

现有5道题,其中3道甲类题,2道乙类题,张同学从中任取2道题解答.试求:

(1)所取的2道题都是甲类题的概率;

(2)所取的2道题不是同一类题的概率.

查看答案和解析>>

科目:高中数学 来源:2015-2016学年湖北省枣阳市高二10月月考理科数学试卷(解析版) 题型:解答题

(本题满分12分),对岁的人群随机抽取人进行了一次生活习惯是否符合低碳观念的调查,若生活习惯符合低碳观念的称为“低碳族”,否则称为“非低碳族”,得到如下统计表和各年龄段人数频率分布直方图:

(Ⅰ)补全频率分布直方图并求的值;

(Ⅱ)从年龄段在的“低碳族”中采用分层抽样法抽取人参加户外低碳体验活动,其中选取人作为领队,求选取的名领队中恰有1人年龄在岁的概率.

查看答案和解析>>

科目:高中数学 来源:2015-2016学年甘肃省定西市高一上学期第一次月考数学试卷(解析版) 题型:填空题

已知集合

查看答案和解析>>

同步练习册答案