精英家教网 > 高中数学 > 题目详情
用数学归纳法证明:当n≥2,n∈N*时,

证明:(1)当n=2时,左边=,右边=
∴n=2时等式成立;
(2)假设当n=k(n≥2,n∈N*)时等式成立,

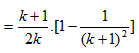
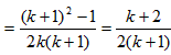
那么当n=k+1时,




∴当n=k+1时,等式也成立,
根据(1)和(2)知,对任意n≥2,n∈N*,等式都成立。

练习册系列答案
相关习题

科目:高中数学 来源: 题型:

已知m,n为正整数.
(Ⅰ)用数学归纳法证明:当x>-1时,(1+x)m≥1+mx;
(Ⅱ)对于n≥6,已知(1-
1
n+3
)n
1
2
,求证(1-
m
n+3
)n<(
1
2
)m
,m=1,2…,n;
(Ⅲ)求出满足等式3n+4n+5n+…+(n+2)n=(n+3)n的所有正整数n.

查看答案和解析>>

科目:高中数学 来源: 题型:

已知:函数f(x)=-
1
6
x3+
1
2
x2+x
,x∈R.
(Ⅰ)求证:函数f(x)的图象关于点A(1,
4
3
)
中心对称,并求f(-2007)+f(-2006)+…+f(0)+f(1)+…+f(2009)的值.
(Ⅱ)设g(x)=f′(x),an+1=g(an),n∈N+,且1<a1<2,求证:
(ⅰ)请用数学归纳法证明:当n≥2时,1<an
3
2

(ⅱ)|a1-
2
|+|a2-
2
|+…+|an-
2
|<2

查看答案和解析>>

科目:高中数学 来源: 题型:

(理科做)设f(n)=1+
1
2
+
1
3
+…+
1
n
,用数学归纳法证明:当n≥2,n∈N*时,n+f(1)+f(2)+…+f(n-1)=nf(n).

查看答案和解析>>

科目:高中数学 来源: 题型:

用数学归纳法证明:当n为正奇数时,xn+yn能被x+y整除,第二步的假设应写成
假设n=2k-1,k∈N*时命题正确,即当n=2k-1,k∈N*时,x2k-1+y2k-1能被x+y整除
假设n=2k-1,k∈N*时命题正确,即当n=2k-1,k∈N*时,x2k-1+y2k-1能被x+y整除

查看答案和解析>>

科目:高中数学 来源: 题型:

用数学归纳法证明:当n为正奇数时,xn+yn能被x+y整除,第二步的假设应写成假设n=
2k-1
2k-1
,k∈N*时命题正确,再证明n=
2k+1
2k+1
,k∈N*时命题正确.

查看答案和解析>>

同步练习册答案