精英家教网 > 高中数学 > 题目详情
椭圆的中心是原点O,它的短轴长为,相应于焦点F(c,0)(c>0)的准线l与x轴相交于点A,|OF|=2|FA|,过点A的直线与椭圆相交于P、Q两点。
(1)求椭圆的方程及离心率;
(2)若,求直线PQ的方程;
(3)设(λ>1),过点P且平行于准线l的直线与椭圆相交于另一点M,证明
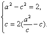
解:(1)由题意,可设椭圆的方程为
由已知得
解得
所以椭圆的方程为,离心率
(2)由(1)可得A(3,0)。
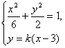
设直线PQ的方程为
由方程组
依题意,得
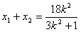
,则, ①

由直线PQ的方程得
于是。③
,∴。④
由①②③④得,从而
所以直线PQ的方程为
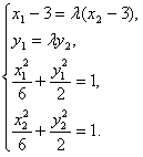
(3)证明:
由已知得方程组
注意,解得



所以
练习册系列答案
相关习题

科目:高中数学 来源: 题型:

椭圆的中心是原点O,它的短轴长为2
2
,相应于焦点F(c,0)(c>0)的准线l与x轴相交于点A,|OF|=2|FA|,过点A的直线与椭圆相交于P、Q两点.
(1)求椭圆的方程及离心率;
(2)若
OP
OQ
=0
,求直线PQ的方程;
(3)设
AP
AQ
(λ>1),过点P且平行于准线l的直线与椭圆相交于另一点M,证明
FM
=-λ
FQ

查看答案和解析>>

科目:高中数学 来源: 题型:

椭圆的中心是原点O,它的短轴长为2
2
,相应于焦点F(c,0)(c>0)的准线l与x轴相交于点A,|OF|=2|FA|,过点A的直线与椭圆相交于P、Q两点.
(1)求椭圆的方程及离心率;
(2)若
OP
OQ
=0
,求直线PQ的方程.

查看答案和解析>>

科目:高中数学 来源: 题型:

椭圆的中心是原点O,短轴长为2
3
,左焦点为F(-c,0)(c>0),相应的准线l与x轴交于点A,且点F分
AO
的比为3,过点A的直线与椭圆相交于P、Q两点.
(Ⅰ)求椭圆的方程;
(Ⅱ)若PF⊥QF,求直线PQ的方程;
(Ⅲ)设
AQ
AP
(λ>1),点Q关于x轴的对称点为Q′,求证:
FQ′
=-λ
FP

查看答案和解析>>

科目:高中数学 来源: 题型:

(2013•烟台二模)已知椭圆的中心是原点O,焦点在x轴上,过其右焦点F作斜率为1的直线l交椭圆于A.B两点,若椭圆上存在一点C,使四边形OACB为平行四边形.
(1)求椭圆的离心率;
(2)若△OAC的面积为15
5
,求这个椭圆的方程.

查看答案和解析>>

科目:高中数学 来源:2012年苏教版高中数学选修1-1 2.2椭圆练习卷(解析版) 题型:解答题

椭圆的中心是原点O,它的短轴长为,相应于焦点F(c,0)()的准线与x轴相交于点A,|OF|=2|FA|,过点A的直线与椭圆相交于P、Q两点 .

(1)求椭圆的方程及离心率;

(2)若,求直线PQ的方程;

(3)设),过点P且平行于准线的直线与椭圆相交于另一点M,证明.

 

查看答案和解析>>

同步练习册答案