精英家教网 > 高中数学 > 题目详情

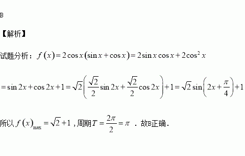
函数的最大值和最小正周期分别是( )

A.2,π B. C.2,2π D.

练习册系列答案
相关习题

科目:高中数学 来源:2015-2016学年湖南省益阳市高一9月月考数学试卷(解析版) 题型:选择题

设全集U是实数集R,M={x|x2>4},N={x|1<x<3},则图中阴影部分表示的集合是

A、{x|-2≤x<1} B、{x|1<x≤2}

C、{x|-2≤x≤2} D、{x|x<2}

查看答案和解析>>

科目:高中数学 来源:2015-2016学年湖南省高一上学期实验班招生数学试卷(解析版) 题型:填空题

已知:如图,正方形ABCD的边长为8,M在CD上,且DM=2,N是AC上的一个动点,则DN+MN的最小值为

查看答案和解析>>

科目:高中数学 来源:2015-2016学年河北邢台市高二上学期第一次月考理科数学试卷(解析版) 题型:选择题

设P是△ABC所在平面外一点,P到△ABC各顶点的距离相等,而且P到△ABC各边的距离也相等,那么△ABC( )

A.是等边三角形

B.是等腰的直角三角形

C.是非等腰的直角三角形

D.是非等边的等腰三角

查看答案和解析>>

科目:高中数学 来源:2015-2016学年河北衡水冀州中学高二上学期第一次月考文科数学试卷(解析版) 题型:选择题

设集合A={x|-3≤x≤0}, B={x|-1≤x≤3},则A∩B =( )

A.[-1,0] B.[-3,3] C.[0,3] D.[-3, -1]

查看答案和解析>>

科目:高中数学 来源:2016届云南师范大学附属中学高考适应性月考卷一文科数学试卷(解析版) 题型:选择题

将某正方体工件进行切削,把它加工成一个体积尽可能大的新工件,新工件的三视图如图所示,则原工件材料的利用率为(材料的利用率=)( )

A、 B、 C、 D、

查看答案和解析>>

科目:高中数学 来源:2016届云南师范大学附属中学高考适应性月考卷一理科数学试卷(解析版) 题型:选择题

若复数的共轭复数是,其中i为虚数单位,则点(a,b)为( )

A.(一1.2) B.(-2,1) C.(1,-2) D.(2,一1)

查看答案和解析>>

科目:高中数学 来源:2015-2016学年甘肃省张掖市高二上学期10月月考文科数学试卷(解析版) 题型:选择题

中,( )

A. B. C. D.

查看答案和解析>>

科目:高中数学 来源:2016届吉林省长春市高三质量监测文科数学试卷(解析版) 题型:选择题

已知几何体的三视图如图所示,则该几何体的表面积为( )

A. B.

C. D.

查看答案和解析>>

同步练习册答案