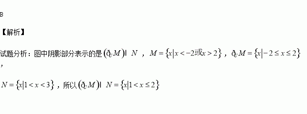
设全集U是实数集R,M={x|x2>4},N={x|1<x<3},则图中阴影部分表示的集合是
![]()
A、{x|-2≤x<1} B、{x|1<x≤2}
C、{x|-2≤x≤2} D、{x|x<2}
科目:高中数学 来源:2015-2016学年甘肃天水一中高二上学期第一次段中考试理科数学试卷(解析版) 题型:选择题
设{
}为等差数列,公差d = -2,
为其前n项和.若
,则
=( )
A.18 B.20 C.22 D.24
查看答案和解析>>
科目:高中数学 来源:2015-2016学年山西省高二上学期9月模块诊断数学试卷(解析版) 题型:选择题
定义域为
的函数
满足
时,
若
时,
恒成立,则实数
的取值范围是
A.
B.
C.
D.![]()
查看答案和解析>>
科目:高中数学 来源:2015-2016学年吉林省高二上学期第一次月考文科数学试卷(解析版) 题型:选择题
若
//
,a//
,则a与
的关系是 ( )
A.a//
B.a
C.a//
或a
D.![]()
查看答案和解析>>
科目:高中数学 来源:2015-2016学年湖北省武汉市硚口区高二9月调研考试文科数学试卷(解析版) 题型:选择题
我国嫦娥一号卫星发射时,运载“嫦娥一号卫星”的火箭在点火后第一秒通过的路程为2km,以后每秒通过的路程比前一秒通过的路程增加2km,在到达离地面240km的高度时,火箭与卫星分离,则这一过程需要的时间是( )
A.120秒 B.121秒 C.15秒 D.16秒
查看答案和解析>>
科目:高中数学 来源:2015-2016学年湖北省高二上学期第一次月考理科数学试卷(解析版) 题型:解答题
(本小题满分12分)(理科)已知圆![]()
(1)若圆
的切线在
轴和
轴上截距相等,求切线的方程;
(2)从圆
外一点
向圆引切线
,
为切点,
为坐标原点,且
,求
的最小值以及此时点
的坐标.
查看答案和解析>>
科目:高中数学 来源:2015-2016学年重庆市高二上学期第一次月考数学试卷(解析版) 题型:解答题
如图,在正方体ABCD-
中,棱长为a,E为棱CC1上的的动点.
![]()
(1)求证:A1E⊥BD;
(2)当E恰为棱CC1的中点时,求证:平面A1BD⊥平面EBD.
查看答案和解析>>
科目:高中数学 来源:2015-2016学年河北衡水冀州中学高二上学期第一次月考理科数学试卷(解析版) 题型:选择题
函数
的最大值和最小正周期分别是( )
A.2,π B.
C.2,2π D.![]()
查看答案和解析>>
湖北省互联网违法和不良信息举报平台 | 网上有害信息举报专区 | 电信诈骗举报专区 | 涉历史虚无主义有害信息举报专区 | 涉企侵权举报专区
违法和不良信息举报电话:027-86699610 举报邮箱:58377363@163.com