精英家教网 > 高中数学 > 题目详情

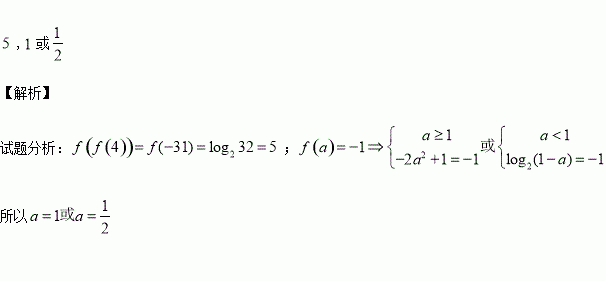
设函数,设函数 .若,则

练习册系列答案
相关习题

科目:高中数学 来源:2015-2016学年黑龙江省高一下期中理科数学试卷(解析版) 题型:填空题

数列的通项公式,前项和为,则___________.

查看答案和解析>>

科目:高中数学 来源:2016届河南省洛阳市高三考前练习二理科数学试卷(解析版) 题型:解答题

已知函数.

(1)求的极值;

(2)若对任意,使得恒成立,求实数的取值范围;

(3)证明:对,不等式成立.

查看答案和解析>>

科目:高中数学 来源:2016届河南省洛阳市高三考前练习二理科数学试卷(解析版) 题型:选择题

,则( )

A. B.

C. D.

查看答案和解析>>

科目:高中数学 来源:2016届浙江省杭州市高三5月模拟理科数学试卷(解析版) 题型:解答题

如图,在四棱锥中,,且.

(1)求证:平面 平面

(2)求直线 与平面 所成的角的正弦值.

查看答案和解析>>

科目:高中数学 来源:2016届浙江省杭州市高三5月模拟理科数学试卷(解析版) 题型:选择题

如图,在三棱锥中, 已知,点上,, 设,用表示,记函数,则下列表述正确的是( )

A.是关于的增函数 B.是关于 的减函数

C.关于先递增后递减 D.关于先递减后递增

查看答案和解析>>

科目:高中数学 来源:2015-2016学年湖北沙市高一下第五次半月考数学试卷(解析版) 题型:解答题

已知函数,满足是偶函数.

(1)求函数的解析式;

(2)设,若对任意的,不等式恒成立,求实数的取值范围.

查看答案和解析>>

科目:高中数学 来源:2015-2016学年湖北沙市高一下第五次半月考数学试卷(解析版) 题型:选择题

已知,则( )

A. -3 B. 3或 C. 3 D.

查看答案和解析>>

科目:高中数学 来源:2016届河南省高三考前冲刺三文科数学试卷(解析版) 题型:选择题

已知函数是定义域为R的偶函数,当时,若关于x的方程有且仅有6个不同实数根,则实数a的取值范围是( )

A. B.

C. D.

查看答案和解析>>

同步练习册答案